Zaliczaj.pl
Liceum » Matematyka
Dodaj do ulubionych Drukuj
Autor: tatry97a Dodano: 24.5.2016 (18:22)
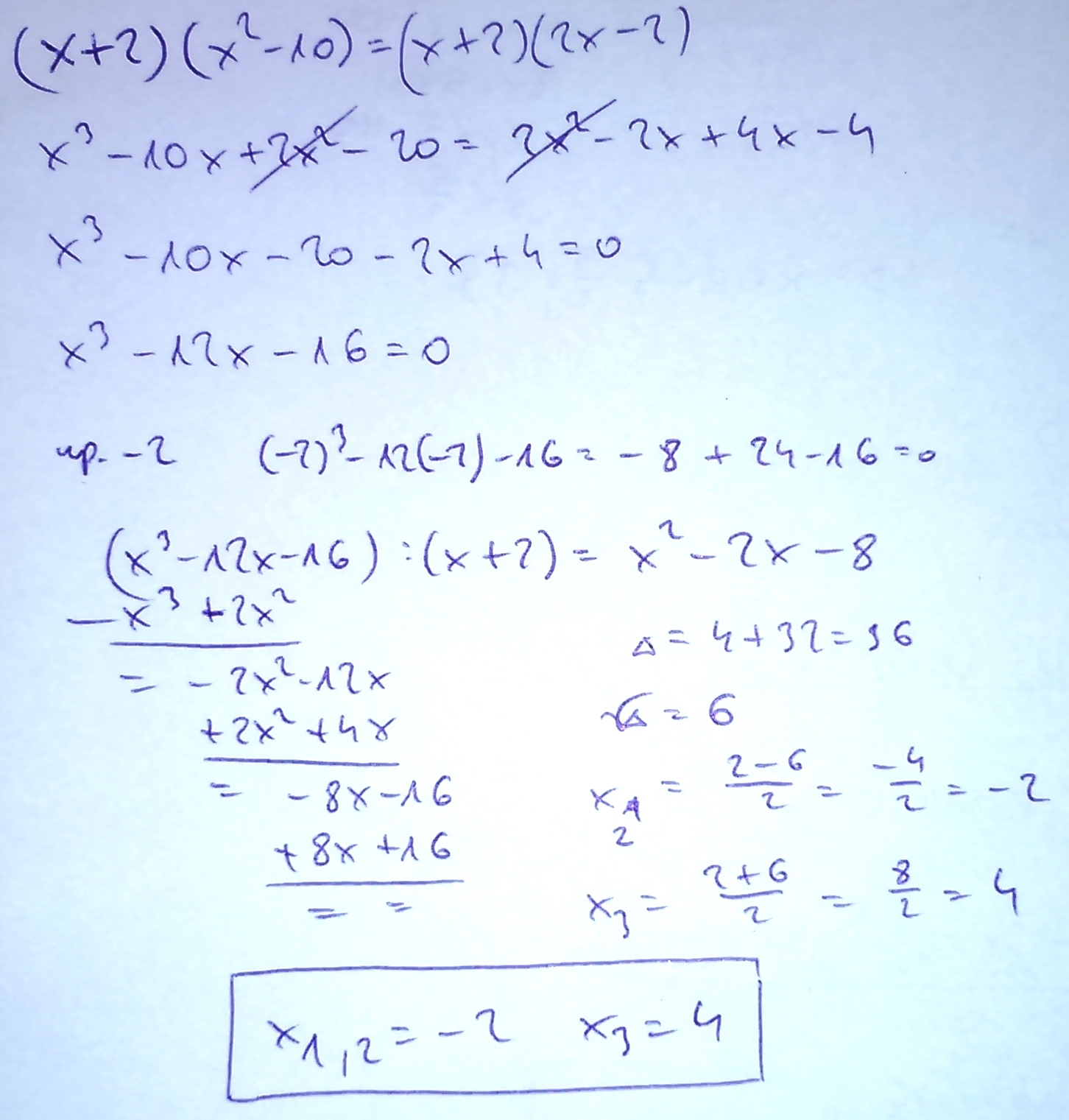
rozwiąż równanie (x+2)(x^2-10)=(x+2)(2x-2)
Zgłoś nadużycie
Zadanie jest zamknięte. Autor zadania wybrał już najlepsze rozwiązanie lub straciło ono ważność.
1 0
werner2010 26.5.2016 (01:27)
rozwiązanie na zdjęciu
Dodawanie komentarzy zablokowane - Zgłoś nadużycie
0 odpowiada - 0 ogląda - 1 rozwiązań
Zobacz więcej opcji
1 0
werner2010 26.5.2016 (01:27)
rozwiązanie na zdjęciu
Załączniki
Dodawanie komentarzy zablokowane - Zgłoś nadużycie