Treść zadania
Autor: tatry97a Dodano: 24.5.2016 (17:05)
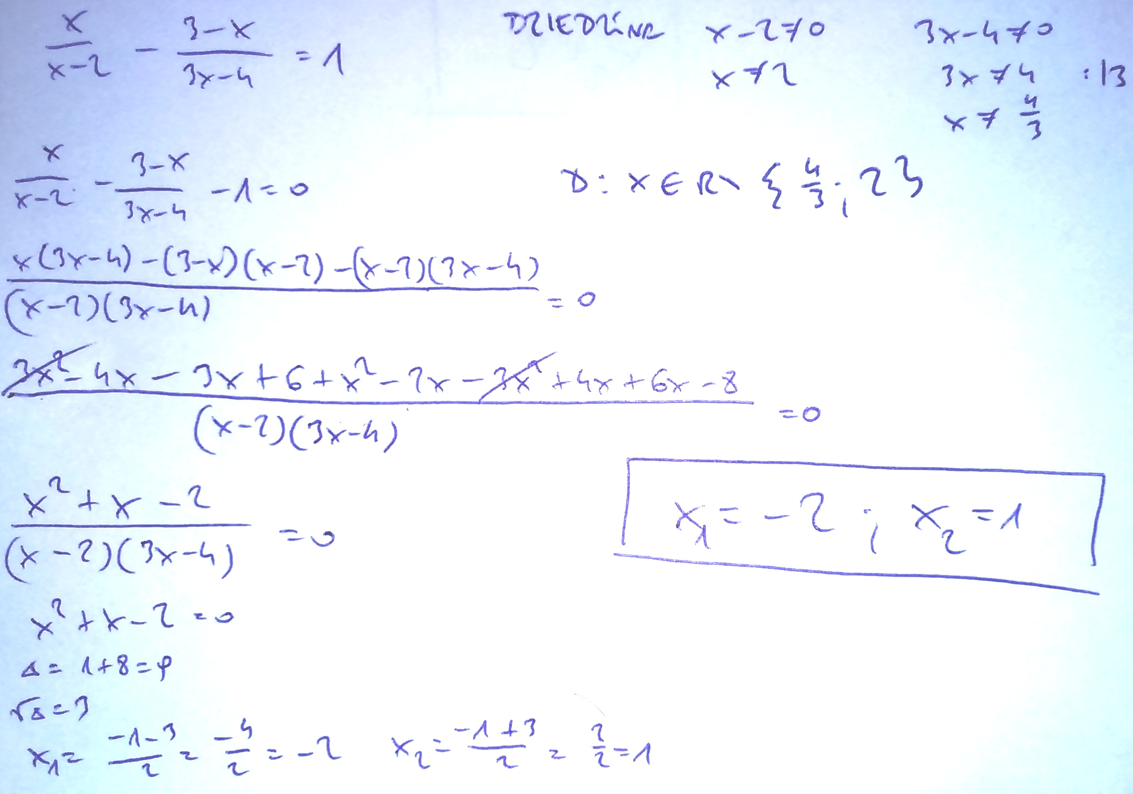
rozwiąz równanie
\frac{x}{x-2} - \frac{3-x}{3x-4} = 1
Zadanie jest zamknięte. Autor zadania wybrał już najlepsze rozwiązanie lub straciło ono ważność.
Najlepsze rozwiązanie
Rozwiązania
Podobne zadania
|
|
1 rozwiązanie | autor: Ewunia2906 26.5.2018 (17:54) |
0 odpowiada - 0 ogląda - 1 rozwiązań
1 0
werner2010 26.5.2016 (01:45)
rozwiązanie na zdjęciu
Załączniki
Dodawanie komentarzy zablokowane - Zgłoś nadużycie