Treść zadania

tatry97a

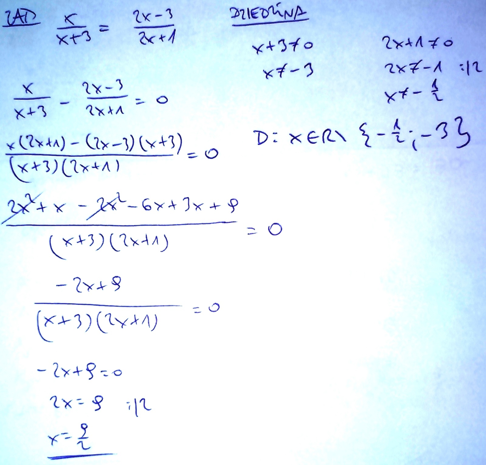
pilne rozwiąz równanie
x/x+3 = 2x-3/2x+1

Zadanie jest zamknięte. Autor zadania wybrał już najlepsze rozwiązanie lub straciło ono ważność.

Najlepsze rozwiązanie

Rozwiązania

Podobne zadania

pako2411 Pilne Położenie prostej i okręgu Przedmiot: Matematyka / Liceum 1 rozwiązanie autor: pako2411 14.4.2010 (17:56)
djmikuss WEKTORY - PILNE Przedmiot: Matematyka / Liceum 1 rozwiązanie autor: djmikuss 16.4.2010 (09:32)
nikola29 PILNE ! Przedmiot: Matematyka / Liceum 1 rozwiązanie autor: nikola29 16.4.2010 (17:18)
kasiaH171 pilne na jutro Przedmiot: Matematyka / Liceum 1 rozwiązanie autor: kasiaH171 22.4.2010 (19:59)
kasiaH171 pilne Przedmiot: Matematyka / Liceum 1 rozwiązanie autor: kasiaH171 22.4.2010 (19:56)

Podobne materiały

Przydatność 60% "Bo wykonać mi trzeba dzieło wielkie, pilne, bo z tych kruszców dla siebie serce wykuć muszę [...]" (L. Staff). Czy człowiek może być kowalem swojego

WSTĘP. A. Znane przysłowie mówi, że każdy jest kowalem swojego losu. Mądrość ludowa każe wierzyć w możliwość kreowania własnego życia, nadawania mu kształtu zbliżonego do naszych marzeń i pragnień. Przekonanie to wydaje się bliskie także L. Staffowi, którego słowa stanowią inspirację niniejszych rozważań. Poeta, czyniąc bohaterem wiersza symbolicznego kowala -...

0 odpowiada - 0 ogląda - 1 rozwiązań

Dodaj zadanie

Zobacz więcej opcji