Treść zadania

tatry97a

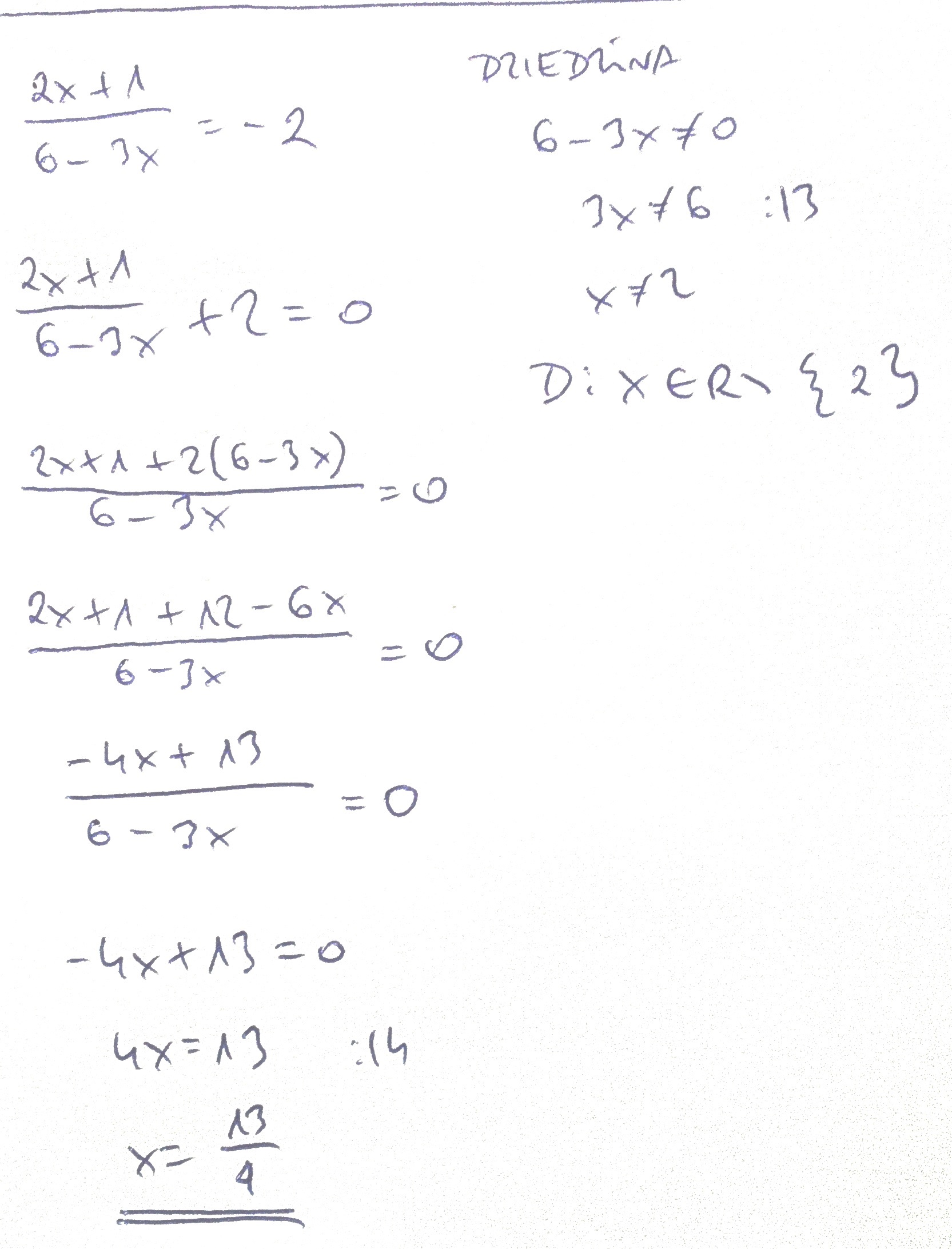
rozwiąż równanie
2x+1/6-3x=-2 bez kreski

Zadanie jest zamknięte. Autor zadania wybrał już najlepsze rozwiązanie lub straciło ono ważność.

Najlepsze rozwiązanie

Rozwiązania

Podobne zadania

czarna1025 Oblicz: a) 20 ! _____ = 18! b) 8 to ma byc bez kreski Przedmiot: Matematyka / Liceum 1 rozwiązanie autor: czarna1025 1.4.2012 (13:39)
avon199708 Zadanie 7. Rozwiąż równanie a. x/3-x +3 bez kreski = Przedmiot: Matematyka / Liceum 1 rozwiązanie autor: avon199708 27.4.2016 (20:15)
matematyka111a ROZWIĄŻ RÓWNANIE bez kreski 3 - 3 / x+2 = bez kreski 2x Przedmiot: Matematyka / Liceum 1 rozwiązanie autor: matematyka111a 9.5.2016 (17:50)
matematyka111a ROZWIĄŻ RÓWNANIE bez kreski x- 5 = 3x^2 / 3x+2 Przedmiot: Matematyka / Liceum 1 rozwiązanie autor: matematyka111a 9.5.2016 (17:51)
matematyka111a ROZWIĄŻ RÓWNANIE d. bez kreski 2x+1 - 3x/ 5x-1 = 0 bez kreski Przedmiot: Matematyka / Liceum 1 rozwiązanie autor: matematyka111a 9.5.2016 (17:51)

Podobne materiały

Przydatność 50% Charakterystyka Janiny Krechowicz - Kreski

W powieści M. Musierowicz pt. "Opium w rosole" pojawiają się postacie, które są sympatyczne, ale najbardziej zafascynowała mnie Janina Krechowicz zwana "Kreską". Uczęszczała do liceum, w którym pracował jej dziadek profesor Dmuchawiec, u którego mieszka. Dziewczyna o burych oczach z wielkimi rzęsami, obcięta była na Izabelę Trojanowską. Kręskę...

Przydatność 85% Charakterystyka Janiny Krechowicz - Kreski.

Kreska czyli Janina Krechowicz to nastolatka mieszkająca w Poznaniu. Mieszka tu ze swoim dziadkiem,profesorem Dmuchawczem. Uczęszcza do liceum ,do klasy I,,b". Dziewczyna była średniego wzrostu o szczupłej budowie ciała. Jej twarz ozdabiały promienne, bure oczy z wielkimi rzęsami. Włosy tak samo jak oczy były koloru burego, ścięte na Izabelę...

Przydatność 75% Charakterystyka Kreski - Janiny Krechowicz

Kreska, czyli Janina Krechowicz była uczennicą Liceum im. Stefana Żeromskiego w Poznaniu. Mieszkała razem ze swoim dziadkiem profesorem Dmuchawcem, który jeszcze do niedawna uczył w tym liceum. Kreska była ładna. Miała promienne, bure oczy podkreślone długimi rzęsami. Miała krótko ścięte ciemne włosy i mocno ścieniowaną grzywkę według obowiązującej wówczas mody "na...

Przydatność 75% Charakterystyka Janiny Krechowicz- Kreski

Janina Krechowicz to szesnastolatka , wnuczka profesora Dmuchawca. Mieszka z nim w Poznaniu, bardzo brakuje jej rodziców. Uczęszcza do klasy lb liceum , w którym jej dziadek uczył wiele lat. Kreska to ładna dziewczyna o delikatnej cerze, burych oczach i takich samych krótkich włosach. Brakuje jej pieniędzy , dlatego nosi szyte własnoręcznie ubrania...

Przydatność 70% Charakterystyka Janiny "Kreski" Krechowicz.

Janina Krechowicz nazywana Kreską mieszkała w Poznaniu u swojego dziadka. Uczęszczała ona do liceum w którym całkiem niedawno uczył jej dziadek, profesor Dmuchawiec. Kreska miała bure oczy z wielkimi rzęsami. Jej włosy również bure"obsmyczone na Izabelę Trojanowską". Była ładna-"tej cechy nie udało jej się całkowicie zniweczyć przez swój sposób ubierania...

0 odpowiada - 0 ogląda - 1 rozwiązań

Dodaj zadanie

Zobacz więcej opcji