Treść zadania
Autor: dziusia96 Dodano: 12.5.2016 (09:14)
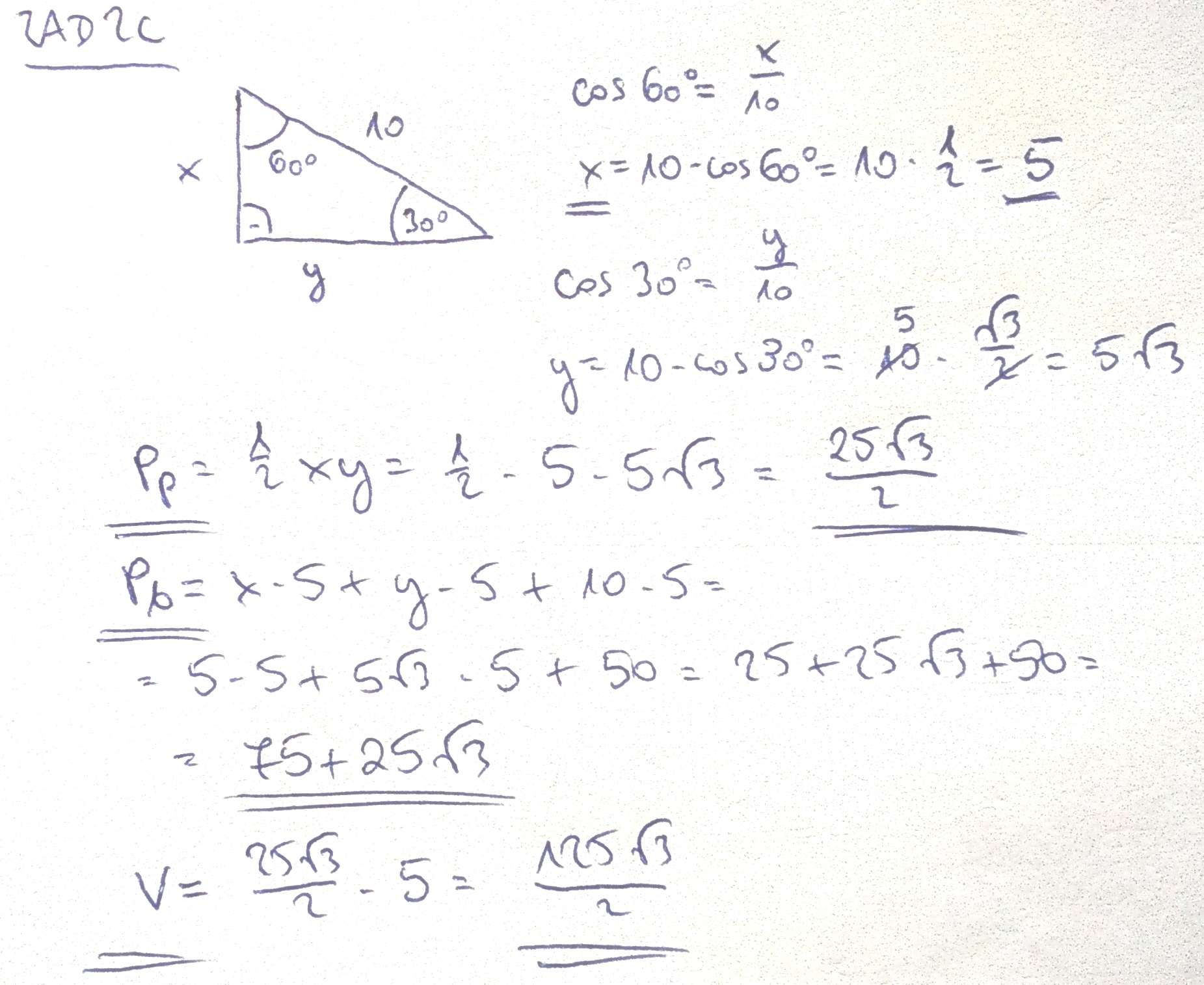
Na rysunkach przedstawiono podstawy graniastosłupów prostych trójątnych o wysokości 5. Oblicz długości zaznaczonych odcinków,pola podstawy i pola powierzchni bocznej tych graniastosłupów.
Zadanie jest zamknięte. Autor zadania wybrał już najlepsze rozwiązanie lub straciło ono ważność.
Najlepsze rozwiązanie
Rozwiązania
Podobne zadania
|
|
1 rozwiązanie | autor: adam200925 8.4.2010 (17:23) |
|
|
1 rozwiązanie | autor: adam200925 8.4.2010 (17:23) |
|
|
1 rozwiązanie | autor: ilka132 11.4.2010 (10:07) |
|
|
1 rozwiązanie | autor: Wercia264 25.4.2010 (13:00) |
|
|
3 rozwiązania | autor: kwiat2010 28.4.2010 (17:27) |
Podobne materiały
Przydatność 50% Sciaga na temat maszyn prostych
Maszyny proste-to urządzenia przy pomocy których pracuje się tylko siłą własnych mięśni.Ze względu na prostą budowę i zasadę działania nazywamy je m.p.Dzieki tym maszynom mniejszą siłą pokonujemy siłę większa.Dźwignie-ciało sztywne np.pręt metalowy podparty w 1 punkcie:a) na 1 z końców-dź. jednostronna,b)na długości-dź. dwustronna.W dź. 1-stronnej...
Przydatność 70% Projekt przekładni zębatej walcowej o zębach prostych
Projekt przekładni zębatej którą wykonywałem na PKM. Załącznik zawiera tylko obliczenia ponieważ rysunki do projektu robiłem ręcznie. W obliczeniach jest jeden błąd którego nie chciało mi się poprawiać, a mianowicie przyjąłem zbyt mała liczbę zębów pierwszego koła i w wyniku tego koła sa małe i pomiędzy łożyskami zostaje jedynie 4mm odległości przez co nie da...
Przydatność 100% Świat nie jest dla ludzi prostych, potrafi ich tylko krzywdzić
W dzisiejszych czasach, gdzie światem rządzi pieniądz, korupcja i zło, trudno jest żyć prostym ludziom. Uważam, że właśnie prości ludzie, którzy wychowani byli w duchu uczciwości, wzajemnej pomocy, miłości bliźniego, trwałości i poszanowania rodziny, dziś nie mogą odnaleźć tych wartości. Tym bardziej, że w środkach masowego przekazu codziennie czyta i słyszy się o...
Przydatność 100% Świat nie jest dla ludzi prostych, potrafi ich tylko krzywdzić.
Człowiek prosty często takiej osobie wyrządza się wiele krzywd. Jest ona często tym gorsza bo świadoma. Człowiek ten staje się moralną chorągiewką. Świat nie jest dla ludzi prostych potrafi ich tylko skrzywdzić. Z tą myślą nie mogę się zgodzić. Człowiek prosty ma w świeci swoje miejsce. Owszem często przez swoją skromność i dobroduszność jest wykorzystywany przez...
Przydatność 65% Świat nie jest dla ludzi prostych, potrafi ich tylko krzywdzić...
Ówczesny świat określany jest przez większość jako okrutny...Inni twierdzą, że jest piękny. Niestety tak naprawdę dzisiejsze czasy są raczej odzwierciedleniem raczej zła, niż dobra...Wystarczy włączyć telewizor na poranne czy wieczorne wiadomości... Trudno jest teraz żyć ludziom prostym, którzy zostali wychowani w duchu uczciwości, wzajemnej pomocy, miłości,...
0 odpowiada - 0 ogląda - 1 rozwiązań
1 0
werner2010 12.5.2016 (13:00)
rozwiązania na zdjęciach
Załączniki
Dodawanie komentarzy zablokowane - Zgłoś nadużycie