Treść zadania
Autor: Roni3020 Dodano: 8.5.2016 (08:28)
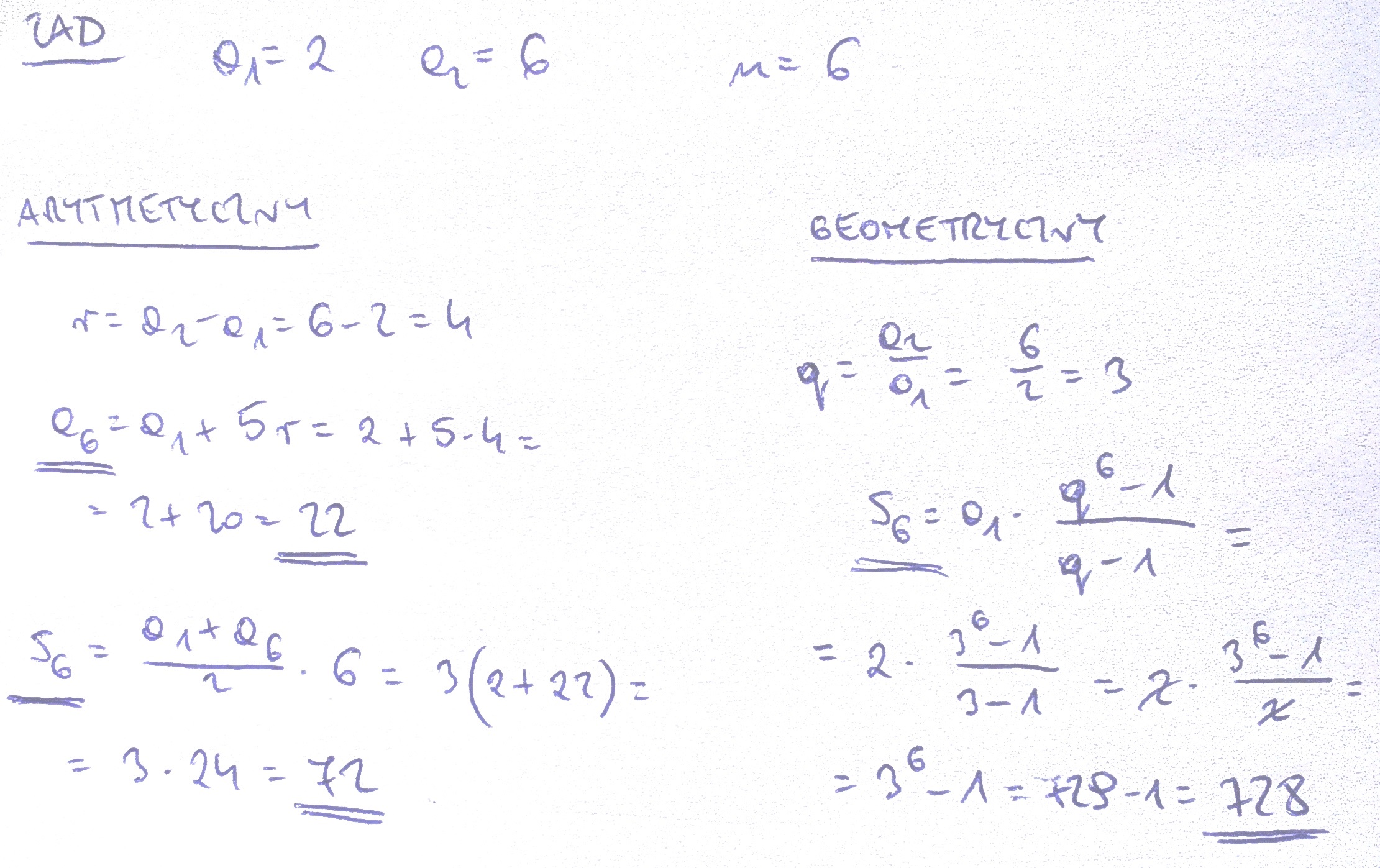
Pierwszy wyraz ciągu wynosi 2, a następny 6. Wyznacz sumę sześciu kolejnych wyrazów tego ciąg, wiedząc, że jest to ciąg:
a) arytmetyczny
b) geometryczny
Zadanie jest zamknięte. Autor zadania wybrał już najlepsze rozwiązanie lub straciło ono ważność.
Rozwiązania
Podobne zadania
|
|
2 rozwiązania | autor: MartaGrzeszczak1 29.3.2010 (17:43) |
|
|
1 rozwiązanie | autor: mania1408-k1 12.4.2010 (16:49) |
|
|
1 rozwiązanie | autor: xagusiax007 14.4.2010 (19:23) |
|
|
2 rozwiązania | autor: nikola29 15.4.2010 (19:01) |
|
|
1 rozwiązanie | autor: patrycja0031 15.4.2010 (19:34) |
Podobne materiały
Przydatność 75% Spadek współczesności dla kolejnych pokoleń
W poniższej pracy postaram się wymienić niektóre z wartości, jakie nasza współczesność pozostawi po sobie kolejnym pokoleniom. Moje zadanie nie jest łatwe, jednak spróbuję sobie z nim poradzić. Na pewno nasze prawnuki będą korzystać z komputerów, których wynalazcami są osoby żyjące w naszych czasach. Będą jeździć samochodami, które wymyślili współcześni mechanicy....
Przydatność 65% List, w którym wyznacze cele na nowy rok szkolny.
Przysietnica 02.09.2009 Angeliko! Pierwszego września rozpoczęłam nowy rok szkolny. Pamiętam, że jest to dzień szczególny, także z powodu siedemdziesiątej rocznicy wybuchu II Wojny Światowej. Wiem, że wtedy wiele dzieci ie mogło...
Przydatność 55% Nawiązania do mitologii w twórczości kolejnych epok.
"Umysłowość europejska, nawracając wielokrotnie do starożytności, zawsze szukała i znajdowała w kulturze klasycznej to, co odpowiadało istocie jej wła Sztuka antyczna na długie lata określiła europejskie kanony piękna. Uznano ją za wzór doskonały - klasyczny. Terminem klasycyzm określa się twórczość antyczną, ale również wszystkie późniejsze prądy artystyczne...
Przydatność 80% treny-wyraz rozpaczy
Cóż może być straszniejszego od straty ukochanej, najbliższej osoby? Zapewne nic, a wiedzieć o tym dokładnie mogą jedynie dotknięci owym nieszczęściem. Każdy stara się znaleźć sposób na ukazanie swojego bólu, nie daje rady go tłumić, np. Jan Kochanowski opisuje to w Trenach. Są to nie tylko wyrazy rozpaczy ale i dzieło filozoficzne. Jan, który cieszył się istnieniem,...
Przydatność 80% Wyraz dźwiękonaśladowczy - definicja.
WYRAZ DŹWIĘKONAŚLADOWCZY - inaczej ONOMATOPEJE to wyrazy które naśladują różne dźwieki np.: trzask, kuku, bęc, chrząst.
0 odpowiada - 0 ogląda - 1 rozwiązań
1 0
werner2010 8.5.2016 (13:44)
rozwiązanie na zdjęciu
Załączniki
Dodawanie komentarzy zablokowane - Zgłoś nadużycie