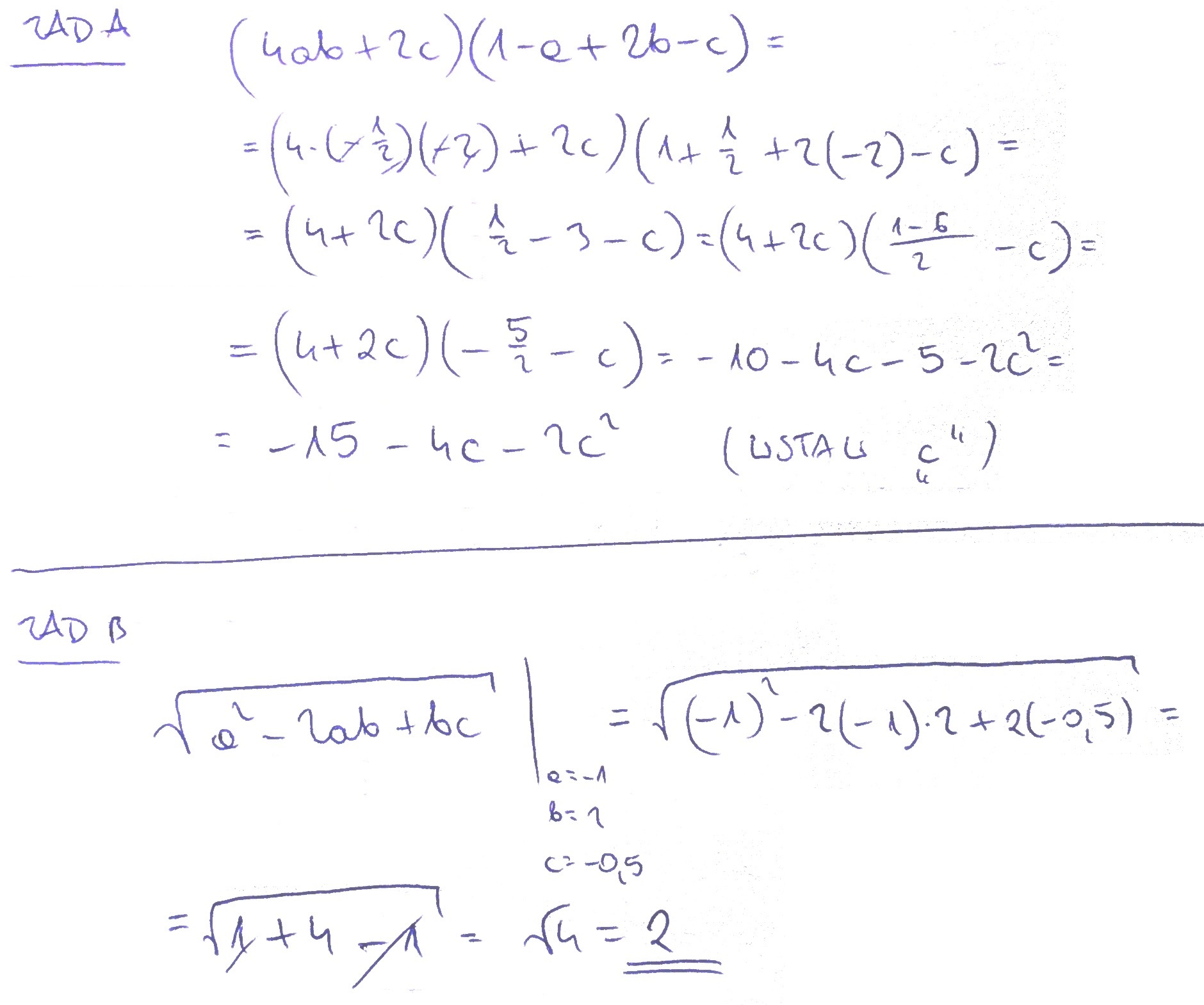
Treść zadania
Autor: Albanka Dodano: 25.4.2016 (17:59)
Rozwiąż:
A)(4ab+2c)(1-a+2b-c)= dla a= -1/2 b= -2
b)pierwiastek z a^2 -2ab+bc= dla a= -1 b= 2 c= -0,5
Zadanie jest zamknięte. Autor zadania wybrał już najlepsze rozwiązanie lub straciło ono ważność.
Rozwiązania
0 odpowiada - 0 ogląda - 1 rozwiązań
0 0
werner2010 27.4.2016 (14:51)
rozwiązanie na zdjęciu
Załączniki
Dodawanie komentarzy zablokowane - Zgłoś nadużycie