Zaliczaj.pl
Liceum » Matematyka
Dodaj do ulubionych Drukuj
Autor: Iza97 Dodano: 4.4.2016 (19:50)
zad
Zgłoś nadużycie
Zadanie jest zamknięte. Autor zadania wybrał już najlepsze rozwiązanie lub straciło ono ważność.
2 0
werner2010 4.4.2016 (20:46)
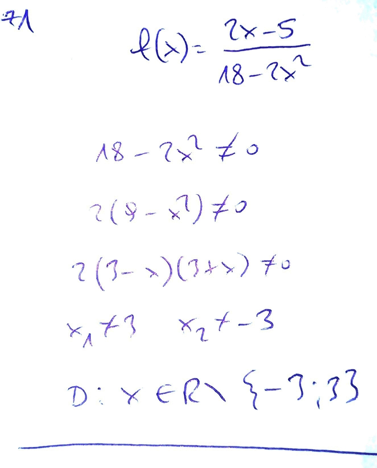
rozwiązania na zdjęciach
Dodawanie komentarzy zablokowane - Zgłoś nadużycie
0 odpowiada - 0 ogląda - 1 rozwiązań
Zobacz więcej opcji
2 0
werner2010 4.4.2016 (20:46)
rozwiązania na zdjęciach
Załączniki
Dodawanie komentarzy zablokowane - Zgłoś nadużycie