Treść zadania
Autor: Gosiek121314 Dodano: 2.4.2016 (15:32)
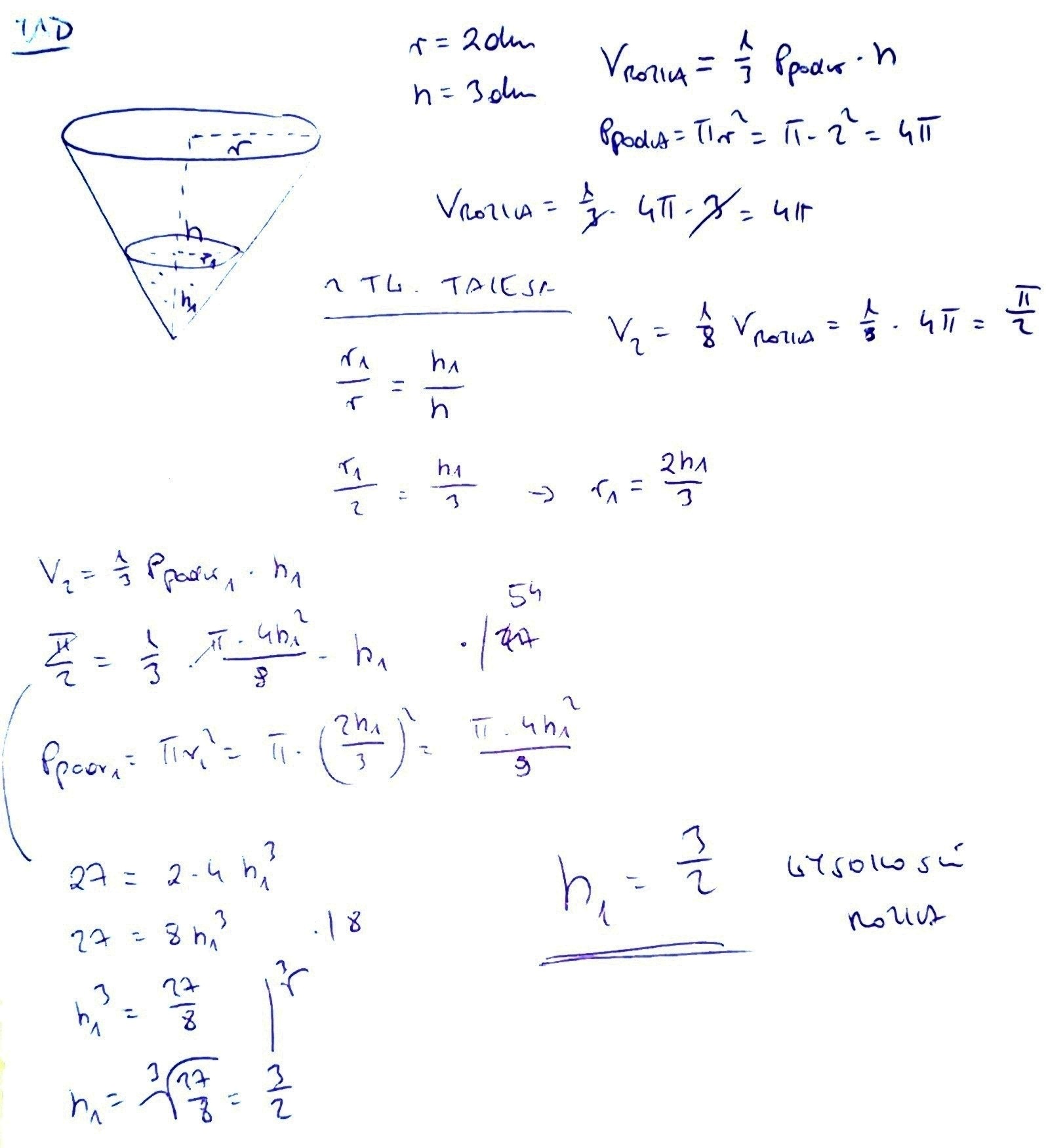
Rożek ma kształt odwróconego stożka o promieniu 2dm i wysokości 3dm . Na jaką wysokość należy nalać wody do rożka aby wypełniała ona 1/8 objętości rożka ?
Zadanie jest zamknięte. Autor zadania wybrał już najlepsze rozwiązanie lub straciło ono ważność.
Najlepsze rozwiązanie
Rozwiązania
Podobne zadania
|
|
1 rozwiązanie | autor: olo 30.3.2010 (18:23) |
|
|
1 rozwiązanie | autor: angel1546 6.4.2010 (11:28) |
|
|
1 rozwiązanie | autor: lilix 15.4.2010 (21:06) |
|
|
2 rozwiązania | autor: iwona5000 16.4.2010 (19:55) |
|
|
1 rozwiązanie | autor: lusi1069 14.9.2010 (17:48) |
0 odpowiada - 0 ogląda - 1 rozwiązań
2 0
werner2010 2.4.2016 (20:45)
rozwiązanie na zdjęciu
Załączniki
Dodawanie komentarzy zablokowane - Zgłoś nadużycie