Treść zadania

blondi431

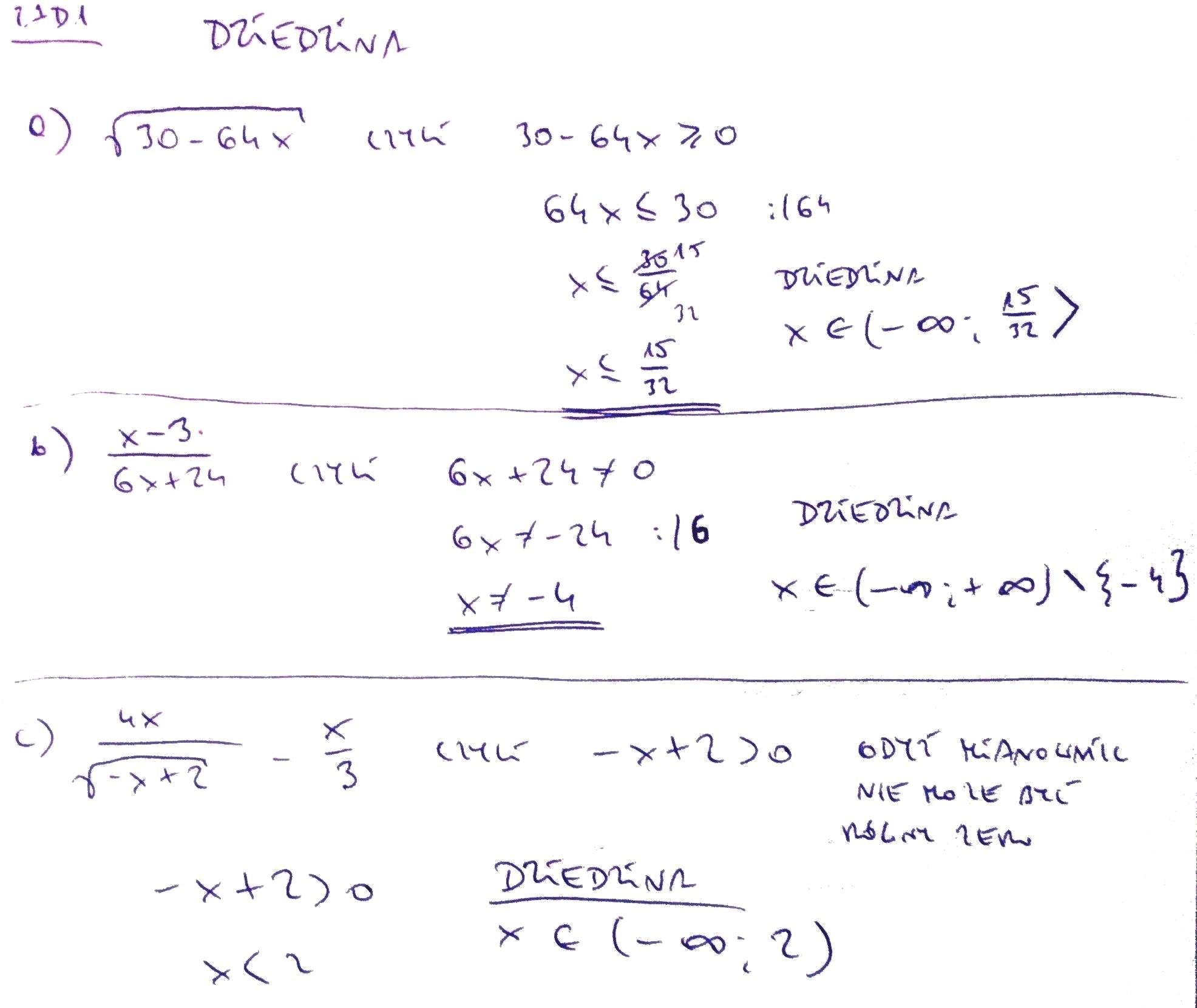
nie równosci pomóżcie mi proszę

Załączniki do zadania

Zadanie jest zamknięte. Autor zadania wybrał już najlepsze rozwiązanie lub straciło ono ważność.

Najlepsze rozwiązanie

Rozwiązania

Podobne zadania

anitkaa1593 na jutro prosz o pomoc Przedmiot: Matematyka / Liceum 1 rozwiązanie autor: anitkaa1593 8.9.2010 (20:15)
niusia1992 :Pmatma prosz:P Przedmiot: Matematyka / Liceum 1 rozwiązanie autor: niusia1992 19.5.2011 (16:43)

0 odpowiada - 0 ogląda - 1 rozwiązań

Dodaj zadanie

Zobacz więcej opcji