Treść zadania

kamilkaa12342

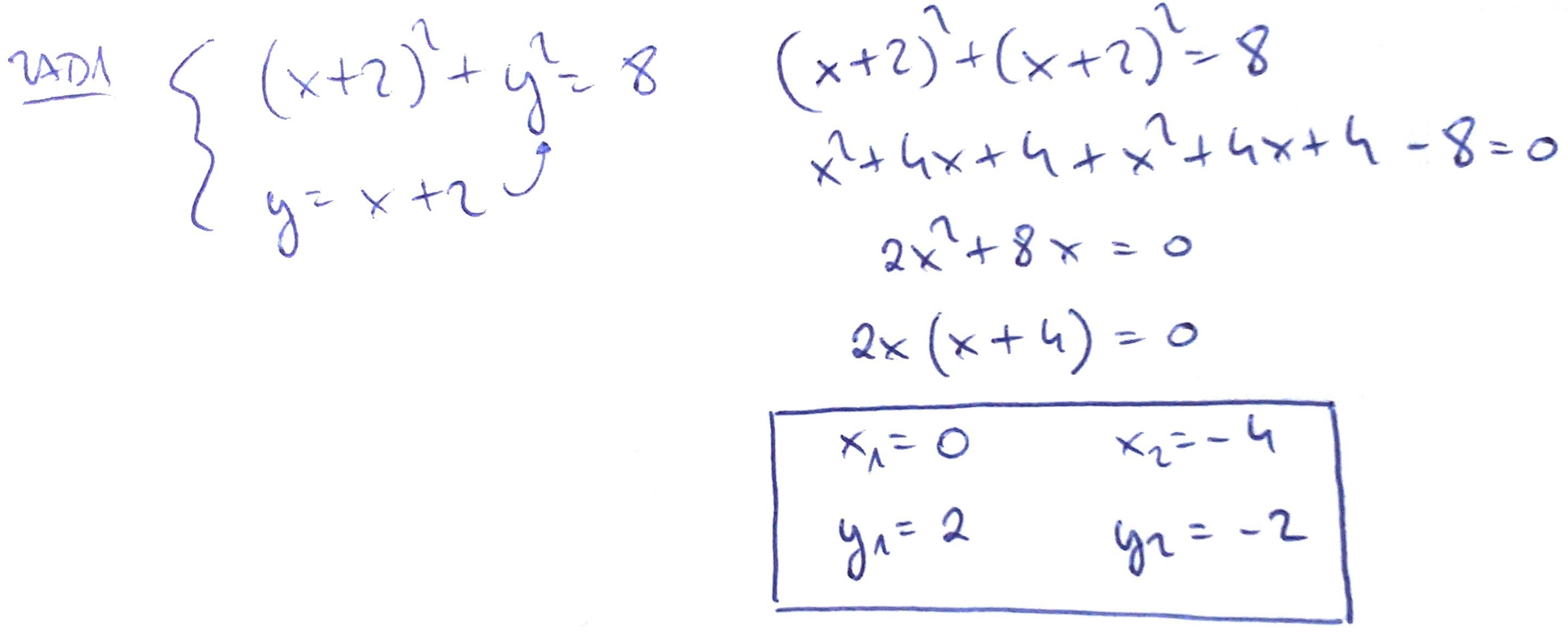
1. Rozwiąż układ rownan+ interpretacje graficzna:
( x +2)^2 +y^2 =8
y=x+2
2.napisz równanie osi,symetrii AB.:
A (-1,-3) B (0,1)

Zadanie jest zamknięte. Autor zadania wybrał już najlepsze rozwiązanie lub straciło ono ważność.

Rozwiązania

Podobne zadania

pati114c Metoga graficzna i algebraiczna Przedmiot: Matematyka / Liceum 1 rozwiązanie autor: pati114c 18.4.2010 (10:48)
maziczek uk.rownan Przedmiot: Matematyka / Liceum 1 rozwiązanie autor: maziczek 13.5.2010 (14:11)
gabrielka25 wyznacz x z podanych rownan: a)bx-c=ax+b/c,gdy c różni sie od Przedmiot: Matematyka / Liceum 1 rozwiązanie autor: gabrielka25 27.9.2010 (18:44)
bedezawszesoba rozwiaz uklad rownan metoda podstawiania x-y=8 x+2y=23 Przedmiot: Matematyka / Liceum 4 rozwiązania autor: bedezawszesoba 25.10.2010 (20:51)
bedezawszesoba rozwiaz ulkad rownan metodagraficzna x +2y=2 -x-2=2 Przedmiot: Matematyka / Liceum 2 rozwiązania autor: bedezawszesoba 25.10.2010 (20:55)

Podobne materiały

Przydatność 55% Karta graficzna

Karta rozszerzeń, umiejscawiana na płycie głównej poprzez gniazdo PCI lub AGP, która odpowiada w komputerze za obraz wyświetlany przez monitor. Karty graficzne różnią się między sobą szybkością pracy, wielkością pamięci RAM, wyświetlaną rozdzielczością obrazu, liczbą dostępnych kolorów oraz częstotliwością odświeżania obrazu. Każda karta graficzna składa się z...

Przydatność 50% Karta Graficzna

W dzisiejszych czasach nikomu nie jest obce pojęcie komputer. Wiele osób interesuje się tą właśnie dziedziną. Jednak komputer składa się nie tylko z jednostki centralnej ale również z monitora , klawiatury , myszki czy chociaż drukarki. Monitor jest uzależniony od podzespołu odpowiadającego za jakość odtwarzanych obrazów a mianowicie karty graficznej. Jest to chyba trzecia...

Przydatność 65% Prezentacja - Karta graficzna

prezentacja w załączniku

Przydatność 65% Różne interpretacje pojęcia polityka

Potocznie pod pojęciem polityka rozumie się sprawowanie władzy przez państwo w różnych dziedzinach życia społecznego (polityka zagraniczna, polityka wewnętrzna, polityka finansowa, polityka mieszkaniowa, polityka oświatowa). Polityka dotyczy postawy, działań człowieka względem celu, odnosi się do tej części stosunków międzyludzkich, które związane są z panowaniem,...

Przydatność 70% Interpretacje wiersza Norwida" W Weronie"

Jest wiele interpretacji wiersza , lecz myśle że trzy z nich są najtrafniejsze: 1. Norwid nawiązuje do dramatu Szekspira" Romeo i Julia". Ukazuje Weronę jako miejsce na które spada z nieba gwiazda. Przez przyrode traktowana jest jako łza , która dotrze do grobu nieszczęśliwych kochanków( " Cyprysy mówią ....") Światopogląd naukowy natomiast sprawia,że spadająca gwiazda jest...

0 odpowiada - 0 ogląda - 1 rozwiązań

Dodaj zadanie

Zobacz więcej opcji