Treść zadania
Autor: lolka3154 Dodano: 17.3.2016 (07:16)
Rozwiąż nierówność i podaj jego założenia
a. 7-x/x+3=x-2/x+7
b x-2/x^3-8=0
c. x^2+1/x+2=-1
2. rozwiąż układ równań
y=4/x
y=2x+2
3. rozwiąż nierówność
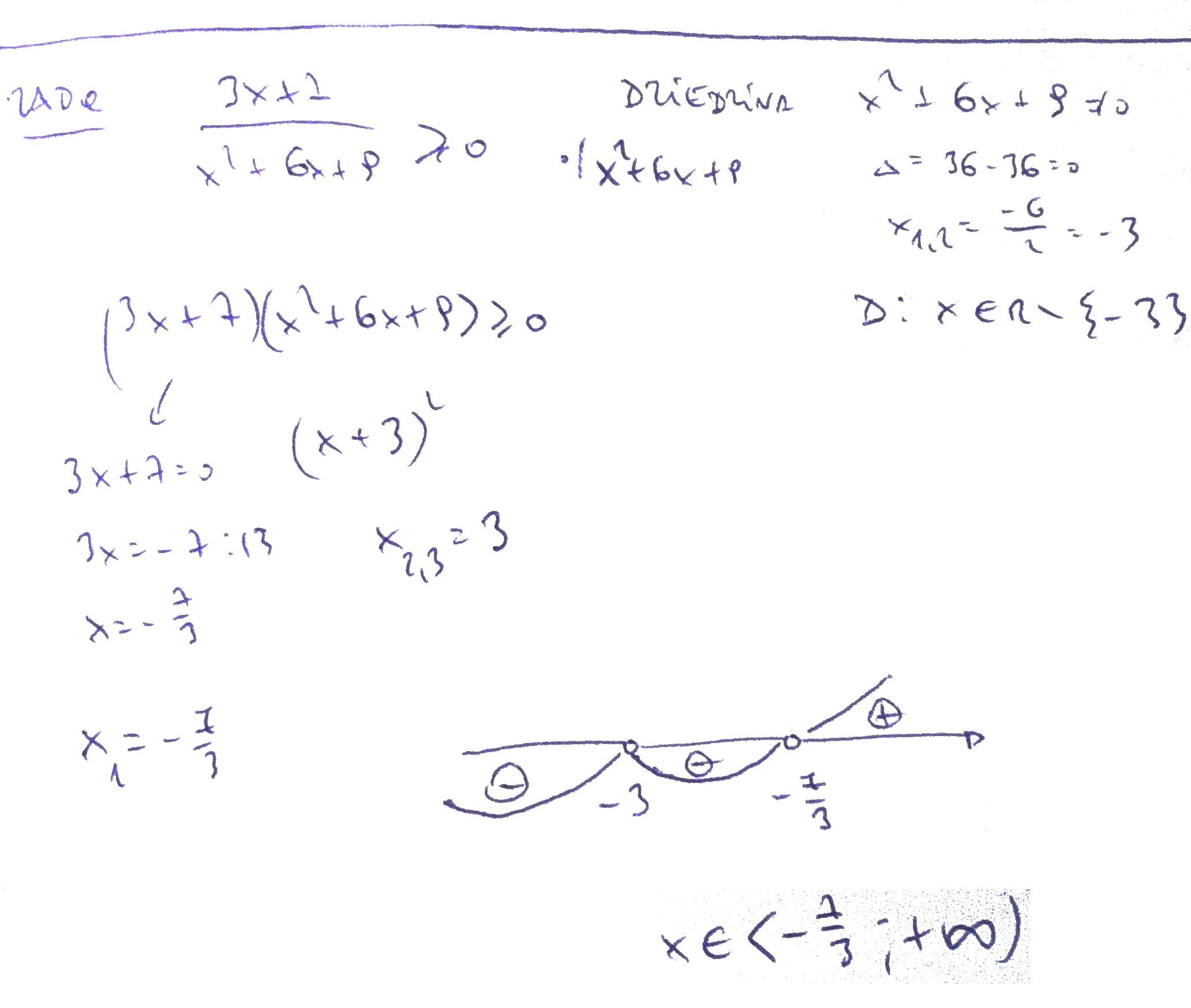
a. 3x+7/x^2+6x+9>=0
b. 2x^2+x+1/x^2+3x<2/3
Komentarze do zadania
-
lolka3154 17.3.2016 (18:30)
bez nawiasu, to co pierwsze to w liczniku a reszta do zanaku = w mianowniku
-
antekL1 17.3.2016 (08:36)
NAWIASY!!!
Czy w podanych wzorach to, co jest przed znaczkiem / jest w liczniku,
a cała reszta w mianowniku? Np w pierwszym zadaniu (a)
(7 - x) / (x + 3) = (x - 2) / (x + 7) ??
W pierwszym zadaniu (b) (x - 2) / (x^3 - 8) = 0
(bo tak, jak piszesz, to jest: x - ( 2 / x^3 ) - 8 = 0, zupełnie co innego.
Zadanie jest zamknięte. Autor zadania wybrał już najlepsze rozwiązanie lub straciło ono ważność.
Najlepsze rozwiązanie
Rozwiązania
-
antekL1 18.3.2016 (13:55)
1.
a) (7-x) / (x+3) = (x-2) / (x+7)
Założenia: Mianowniki mają być różne od zera, więc wykluczamy x = -3 i x = -7.
Dziedziną równania jest: D = R - { -3; -7 }
Mnożymy proporcję "na krzyż"
(7-x)(x+7) = (x+3)(x-2) ; wymnażamy nawiasy
49 + 7x - x^2 - 7x = x^2 - 2x + 3x - 6 ; przenosimy wszystko na prawą stronę
0 = 2x^2 + x - 55 ; rozwiązujemy to równanie kwadratowe
delta = 1^2 - 4 * 2 * (-55) = 441 ; pierwiastek(delta) = 21
x1 = (-1 - 21) / (2*2) = - 11 / 2
x2 = (-1 + 21) / (2*2) = 5
Oba rozwiązania są poprawne bo należą do dziedziny równia.
---------------------
b) (x-2) / (x^3-8) = 0
Założenia: Mianownik ma być różny od zera, więc wykluczamy x = 2
Dziedziną równania jest: D = R - { 2 }
Ze wzoru skróconego mnożenia rozpisujemy mianownik jako:
x^3 - 8 = (x - 2)(x^2 + 2x + 4)
Skracamy (x - 2) i zostaje:
1 / (x^2 + 2x + 4) = 0.
Równanie NIE MA rozwiązań.
---------------------
c) (x^2+1) / (x+2) = -1
Założenia: Mianownik ma być różny od zera, więc wykluczamy x = -2
Dziedziną równania jest: D = R - { -2 }
Przenosimy -1 na lewą stronę i sprowadzamy całość do wspólnego mianownika.
(x^2+1 + x+2) / (x+2) = 0 ; licznik ma być równy 0
x^2 + x + 3 = 0 ' rozwiązujemy to równanie kwadratowe
delta = 1^2 - 4 * 1 * 3 = - 11.
Delta jest ujemna. Równanie NIE MA rozwiązań.
========================================
2.
Założenia: Mianownik ma być różny od zera, więc wykluczamy x = 0
Dziedziną układu równań jest: D = R - { 0 }
Porównujemy prawe strony obu równań:
4/x = 2x+2 ; mnożymy przez x i porządkujemy
(2x^2 + 2x - 4) / x = 0 ; licznik ma być zerem
2x^2 + 2x - 4 = 0 ; rozwiązujemy to równanie kwadratowe
delta = 2^2 - 4*2*(-4) = 36 ; pierwiastek(delta) = 6
x1 = (-2-6)(2*2) = - 2 ; wtedy y1 = 4/x1 = - 2
x2 = (-2+6)(2*2) = 1 ; wtedy y2 = 4/x2 = 4
========================================
Proszę, zamieść nierówności oddzielnie, bo ten tekst staje się za dlugi,
a nierówności wymagają dużej ilości obliczeń.
W razie pytań, albo jeśli się pomyliłem, pisz proszę na priv.Dodawanie komentarzy zablokowane - Zgłoś nadużycie
Podobne zadania
|
|
2 rozwiązania | autor: MAGDAS1980 3.5.2010 (20:53) |
|
|
1 rozwiązanie | autor: justyna168 8.5.2010 (18:42) |
|
|
3 rozwiązania | autor: diablicaatakuje 11.5.2010 (21:16) |
|
|
1 rozwiązanie | autor: pa366 16.5.2010 (15:51) |
|
|
1 rozwiązanie | autor: tedy123456789 18.5.2010 (18:56) |
Podobne materiały
Przydatność 55% Podaj definicję języka i onów jego główne funkcje
język - jest to system znaków prostych (wyrazy) oraz reguły ich łączenia w znaki złożone (zdania, czyli gramatyka). Funkcje języka: - komunikatywna a)informatywna - są to teksty pozbawione elementów emocjonalnych np. teksty naukowe, popularnonaukowe, ogłoszenia, programy informacyjne b)impresywna - celem jest wywołanie określonych reakcji u odbiorcy np. teksty...
Przydatność 70% Kogo nazwiesz idealistą? podaj przykłady bohaterów w polskiej literaturze
Idealizm to wiara w nadrzędność norm moralnych i prawnych nad twardą rzeczywistością dnia codziennego. W tym sensie idealizm jest pokrewny romantyzmowi Idealista to człowiek kierujący się w postępowaniu wzniosłymi zasadami, zdolny do poświęceń dla ich realizacji, wyobrażający sobie świat lepszym niż jest on w rzeczywistości. Idealista to także marzyciel, fanatyk idei,...
Przydatność 70% Jak licealista powinien rozumieć słowo odpowiedzialność? Podaj dwa konkretne przykłady.
Odpowiedzialność ma wiele znaczeń. Można być odpowiedzialnym za siebie, za kogoś, można brać na siebie odpowiedzialność i można ponosić odpowiedzialność. Słownikowa definicja odpowiedzialności brzmi: ?Odpowiedzialność, obowiązek ponoszenia przewidzianych przez przepisy prawne konsekwencji zachowania się własnego lub innych osób. W zależności od przyjętego dla...
Przydatność 70% Podaj nazwiska kilku znanych polskich reżyserów teatralnych, bądź filmowych. Zaprezentuj jednego z nich.
Podaj nazwiska kilku znanych polskich reżyserów teatralnych, bądź filmowych. Zaprezentuj jednego z nich. Jest wielu wybitnych polskich reżyserów. Wymienię jednak tych zasłużonych, których wkład w polskie kino był ogromny. Jerzy Hoffman – sfilmował Trylogię H. Sienkiewicza („Pan Wołodyjowski”, „Potop”, „Ogniem i mieczem” – film najnowszy, z rewelacyjną...
Przydatność 50% Które z praw Konwencji Praw Dziecka są najczęściej łamane, podaj przyczyny.
20 listopada 1989 roku została uchwalona Konwencja Praw Dziecka przez ONZ. W Polsce obowiązuje ona od 1991 roku. Według konwencji dziecko ma między innymi prawo do życia bez przemocy i poniżania, ale niestety niektóre dzieci nawet we własnym domu spotykają się z łamaniem tego prawa. Przyczyn jest wiele: alkoholizm, trudne dzieciństwo, zmiany w psychice spowodowane różnymi...
0 odpowiada - 0 ogląda - 2 rozwiązań
1 0
werner2010 18.3.2016 (13:02)
rozwiązanie na zdjęciach
Załączniki
Dodawanie komentarzy zablokowane - Zgłoś nadużycie