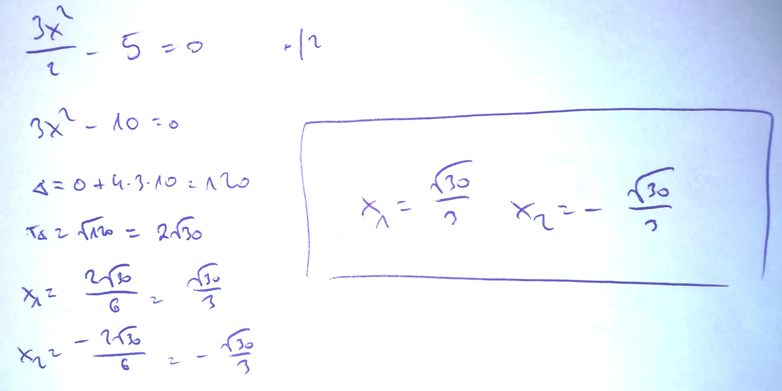
Treść zadania

Formalina2905

Kochani.....
Plis... kto może pomóc ....
ja mam odp ale pewnie złą :(

Załączniki do zadania

Zadanie jest zamknięte. Autor zadania wybrał już najlepsze rozwiązanie lub straciło ono ważność.

Najlepsze rozwiązanie

Rozwiązania

Podobne zadania

sindy9 Plis dam najlepsza odp Przedmiot: Matematyka / Liceum 2 rozwiązania autor: sindy9 31.5.2010 (17:34)
kaamyszkaa plis ;** help ;dd (√2 - √6) (√2 + √6)= (3√6 - 2√10) (3√6+ Przedmiot: Matematyka / Liceum 1 rozwiązanie autor: kaamyszkaa 11.10.2010 (20:59)
panterrraaa pilne plis:(:(:( oblicz dokładna wartość wyrażanie a następnie Przedmiot: Matematyka / Liceum 1 rozwiązanie autor: panterrraaa 18.10.2010 (19:02)
tytka3 Proszę o pomoc zadania w załączniku PLIS HELP ME:) Przedmiot: Matematyka / Liceum 1 rozwiązanie autor: tytka3 13.11.2010 (14:24)
tytka3 Proszę o pomoc! Zadanie w załączniku!Plis help me! Przedmiot: Matematyka / Liceum 1 rozwiązanie autor: tytka3 15.11.2010 (08:50)

Podobne materiały

Przydatność 65% Jak pewnie zdawać egzaminy?

Jak pewnie zdawać egzaminy... Dokładnie dowiedz się, co jest przedmiotem egzaminu, jaki materiał jest wymagany, jakie podręczniki, jakie zagadnienia. Korzystając z tej wiedzy zbierz odpowiednie materiały. Do niektórych egzaminów, np. z języka polskiego, trzeba - i lepiej jest - uczyć się z wielu książek i tekstów, do innych, np. z matematyki, dobrze - i szybciej - można...

Przydatność 50% Ja tata

Z salonu dochodziły krzyki kolejnej kłótni, jednak mnie to już nie dziwiło, przyzwyczaiłem się, mimo że każdej nocy późno zasypiałem. Kłótnie były w tym domu rutyną, punktem w dziennym harmonogramie, który zaczynał się wczesnym rankiem, a kończył... nie wiem, kiedy się kończył ? kilka nerwowych chwil przed początkiem, wcale się nie kończył, pozornie wcześnie,...

Przydatność 65% Ja humanista

Dnia czawartego stycznia, 1994 roku, tuż po godzinie osiemnastej zjawiłam się, ja Monika Kowalska. Liczę już szesnaście wiosen i pięć miesięcy. Mam to szczęście należeć do grona uczniów uczących się w VI liceum Ogólnokształcący w Poznaniu zwanym potocznie „Paderkiem”. Pochodzę z Bolesławca, malowniczo położonej niewielkiej miejscowości koło Poznania. Otaczają mnie...

Przydatność 75% Ja ciagle pamietam ...

kochany......... Jest 12 luty.myslisz to juz?tak to włąsnie juz,dzisiaj..spogladam w lustro jest jakby inne,bardziej zywe,na nieskazitelnej tafli tego jeziora którego zawsze sie bałąm jest juz ktos inny.czy inny tak naprawde?Czy to nie sa tylko złudne,bolesne pozory,ktre tak czesto swego czasu wymuszały ode mnie fałszywy usmiech.Dzisiaj,co moge...

Przydatność 85% Ja i moja edukacja

Edukacja czym jest ? W jakim celu uczymy się ? Często zadajemy sobie takie pytania szczególnie w czasie kiedy pokonujemy kolejne szczeble naszej „kariery naukowej”. Początkowo, zdobywanie wiedzy, szczególnie na poziomie podstawowym jest dla nas mało atrakcyjne. Potem, gdy wraz upływem lat, wzrasta nam świadomość, wartość wiedzy rośnie. Od wieków człowiek dąży do poznania...

0 odpowiada - 0 ogląda - 1 rozwiązań

Dodaj zadanie

Zobacz więcej opcji