Treść zadania
Autor: Monika200 Dodano: 5.2.2016 (07:36)
Rozwiąż
2x²-2x²-6x+4=0
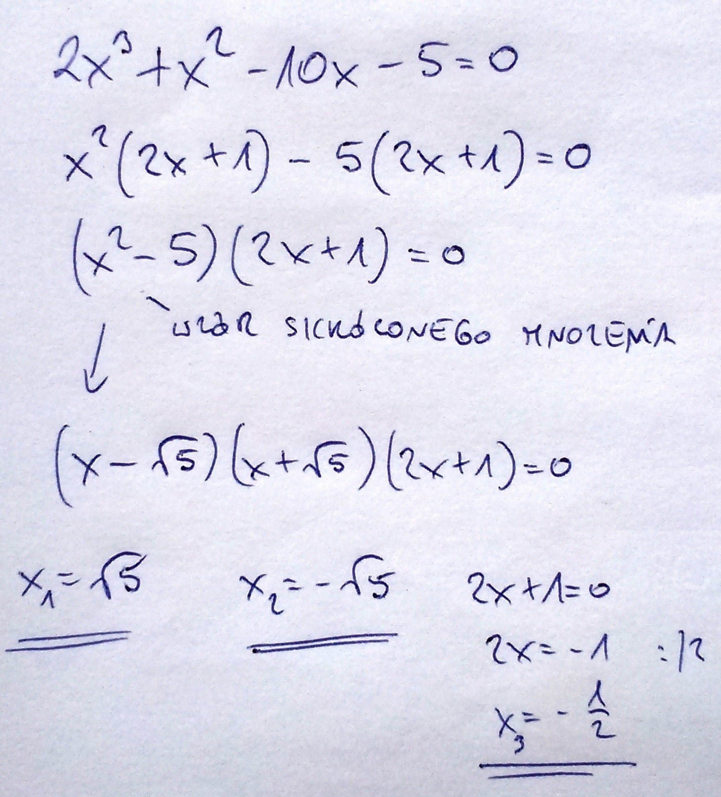
2x³+x²-10x-5=0
Zadanie jest zamknięte. Autor zadania wybrał już najlepsze rozwiązanie lub straciło ono ważność.
RozwiÄ…zania
0 odpowiada - 0 ogląda - 1 rozwiązań
0 0
werner2010 5.2.2016 (10:58)
rozwiązania na zdjęciach
Załączniki
Dodawanie komentarzy zablokowane - Zgłoś nadużycie