Treść zadania

~joana wakulewicz

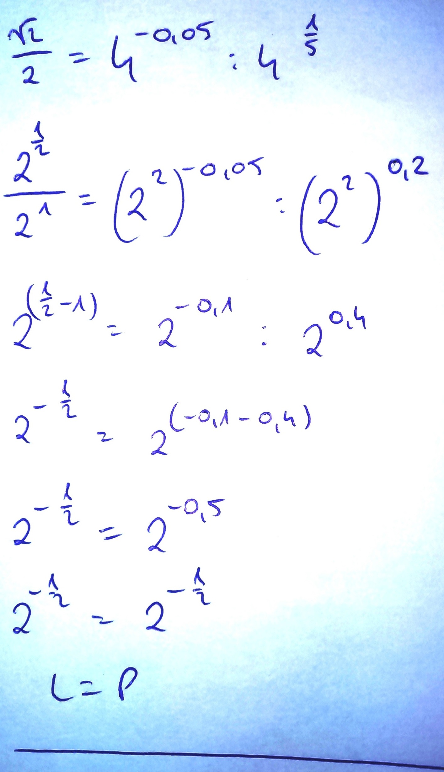
Uzasadnij równość
√2:2=4^-0.05:4^1\5

Zadanie jest zamknięte. Autor zadania wybrał już najlepsze rozwiązanie lub straciło ono ważność.

Rozwiązania

Podobne zadania

jjmil Uzasadnij że kwadrat wysokości poprowadzonej z wierzchołka kąta Przedmiot: Matematyka / Liceum 1 rozwiązanie autor: jjmil 12.4.2010 (21:55)
lllidiaaa123 Uzasadnij, że dla dowolnej liczby.... Przedmiot: Matematyka / Liceum 1 rozwiązanie autor: lllidiaaa123 12.9.2010 (13:11)
aaaishaaa Uzasadnij, że jeśli liczby p i q są dodatnie to trójmianu kwadratowego Przedmiot: Matematyka / Liceum 1 rozwiązanie autor: aaaishaaa 12.9.2010 (19:09)
agnes06 1. Uzasadnij równość: 4* (2) do potęgi Przedmiot: Matematyka / Liceum 1 rozwiązanie autor: agnes06 26.10.2010 (21:06)
milkyy Uzasadnij, że dwumian x-1 nie występuje w rozkładzie na czynniki wielomianu Przedmiot: Matematyka / Liceum 1 rozwiązanie autor: milkyy 3.11.2010 (12:48)

Podobne materiały

Przydatność 65% Uzasadnij, że bohater .....

Każdy człowiek będący za granicą tęskni za swoją ojczyzną. W obcym kraju czuje się zagubiony, powoli traci uczucie przywiązania do miejsca gdzie się urodził. Jest mu już obojętne miejsce zamieszkania,lecz są chwile, gdzie miejscami jest w ojczyźnie. Z bohaterem J.Słowackiego-Skawińskim-było tak samo do czasu gdy dostał paczkę z polska książką “Pan Tadeusz”...

Przydatność 55% Uzasadnij, że bajki

"Bajki i przypowieści na cztery części podzielone" powstały w latach 1776-78, a wydane zostały w roku 1779 r., natomiast "Bajki nowe" - to efekt pracy Ignacego Krasickiego z lat 1779-1800. Obie serie ukazały się w roku 1804 r. w wydaniu zbiorowym "Dzieł poetyckich", w t. 2. Wśród utworów Krasickiego można wskazać bajki: . Ezopowe - Jej bohaterami są...

Przydatność 55% Moje największe marzenie; krótko uzasadnij

Moim marzeniem jest, by wyjechać do Egiptu i zobaczyć to, co jest tam najpiękniejsze i najciekawsze- piramidy Sfinksa i bezmiar otaczającego zewsząd piasku. To musi być niesamowity widok. Trudno mi sobie wyobrazić krajobraz bez drzew, krzewów, trawy i pachnących kwaitów i dlatego własnie chciałabym tam pojechać.

Przydatność 65% Uzasadnij konieczność ochrony języka polskiego

„Język polski stanowi podstawowy element narodowej tożsamości i jest dobrem narodowej kultury” tak zostało zapisane w ustawie o języku polskim. W mojej pracy, opierając się na historii i czasach obecnych, pragnę zwrócić uwagę na to, jak ważna jest dbałość o nasz język i jak wiele powinien dla nas znaczyć. Sądzę więc, iż konieczna jest ochrona języka polskiego. Na...

Przydatność 70% Uzasadnij, że należy sprzątać świat.

Śmieci od zawsze były problemem człowieka. Wraz z upływem lat znacznie wzrosła ich liczba. Z czasem zaczęły powstawać dzikie składy odpadów. Ludzie nie pozostali jednak obojętni na ten problem. Zaczęto budować wysypiska, gdzie zwożono śmieci i utylizowano je. Założono też akcję pt. ,, Sprzątanie świata ??. Tym sposobem ludzie pokazali, że chcą oczyścić ziemię z...

0 odpowiada - 0 ogląda - 1 rozwiązań

Dodaj zadanie

Zobacz więcej opcji