Zadanie jest zamknięte. Autor zadania wybrał już najlepsze rozwiązanie lub straciło ono ważność.
Najlepsze rozwiązanie
Rozwiązania
Podobne zadania
|
|
1 rozwiązanie | autor: totemobraz 2.11.2010 (21:44) |
|
|
3 rozwiązania | autor: totemobraz 2.11.2010 (21:50) |
|
|
1 rozwiązanie | autor: totemobraz 2.11.2010 (21:58) |
|
|
1 rozwiązanie | autor: doma553 9.6.2012 (14:09) |
|
|
1 rozwiązanie | autor: bozenaZ4723 24.2.2013 (18:23) |
Podobne materiały
Przydatność 50% Ciąg dalszy historii Wokulskiego
Wokulski odpalił dynamit, zacisnął zęby i z szeroko otwartymi oczami czekał... Wybuch był niesamowicie silny, w jednej chwili wszystko stanęło w płomieniach, a w powietrzu unosił się gęsty dym, który uniemożliwiał mu oddychanie. Pomyślał: Co ja robię? Czy naprawdę tego chcę? Nie! To niemożliwe!”. I w ułamku sekundy rozpaczliwie zaczął walczyć o życie. Próbował...
Przydatność 50% Lalka - ciąg dalszy
„Lalka II” Stanisław Wokulski został uznany za zmarłego, sądzono, że popełnił samobójstwo. Po ludziach chodziła plotka, że kupował dynamit a parę dni później wysadził się w zamku niedaleko Zastawka. Ale to były tylko plotki. Prawdziwa historia Wokulskiego potoczyła się zupełnie inaczej, choć miała się skończyć tak samo jak plotki. Wokulski był zdesperowany...
Przydatność 75% Dalszy ciąg przygód ''Latarnika''.
Skawiński tułał się po całym świecie. Kiedy otrzymał pracę latarnika myślał, że tu pozostanie do śmierci. Stało się inaczej. Stracił pracę, bo zajęty czytaniem ''Pana Tadeusza'', nie dopilnował swoich obowiązków. Następnego dnia widziano go na statku, który płynął do Nowego Jorku. Skawiński siedział na pokładzie statku. Czsem spoglądał w kierunku...
Przydatność 75% Historia walecznego Harpagona (ciąg dalszy).
Historia walecznego, zakochanego w cudownej szkatułce Harpagona była bardzo długa i jakże piękna ! Bez wątpienia może służyć za wzór prawdziwej miłości, oddania i poświęcenia. Uczucie odważnego Harpagona zostało poddane licznym próbom, jak na przykład podczas okrutnej kradzieży. Tylko największy grabieżca mógł pozwolić sobie na takie zuchwalstwo... Jednak szczęśliwe...
Przydatność 55% Na pełnym morzu. Ciąg dalszy.
Mały: Panowie, po głębokim przemyśleniu postanawiam was opuścić, ponieważ gdybym tu pozostał to pewnie bym nie przeżył. Jestem gotów nawet wskoczyć do tej zimnej wody, aby uratować swoje życie. Do widzenia panom !!! (z uśmiechem na twarzy wskakuje do wody i odpływa od tratwy) Średni: Zdradził nas, nie chciał zostać bohaterem!!! Nie chciał się poświęcić dla nas...
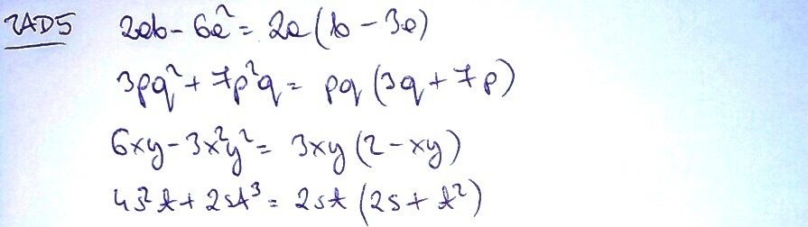
0 odpowiada - 0 ogląda - 1 rozwiązań
1 0
werner2010 13.12.2015 (00:26)
rozwiązania na zdjęciach
Załączniki
Dodawanie komentarzy zablokowane - Zgłoś nadużycie