Zadanie jest zamknięte. Autor zadania wybrał już najlepsze rozwiązanie lub straciło ono ważność.
Najlepsze rozwiązanie
Rozwiązania
Podobne zadania
|
|
2 rozwiązania | autor: jagoda9407 22.4.2010 (19:47) |
|
|
1 rozwiązanie | autor: Klaudia3701 10.5.2010 (16:11) |
|
|
1 rozwiązanie | autor: werakonie 26.8.2010 (19:20) |
|
|
9 rozwiązań | autor: werakonie 27.8.2010 (17:32) |
|
|
1 rozwiązanie | autor: paulina0002224 21.9.2010 (19:52) |
0 odpowiada - 0 ogląda - 1 rozwiązań
1 0
werner2010 12.12.2015 (22:21)
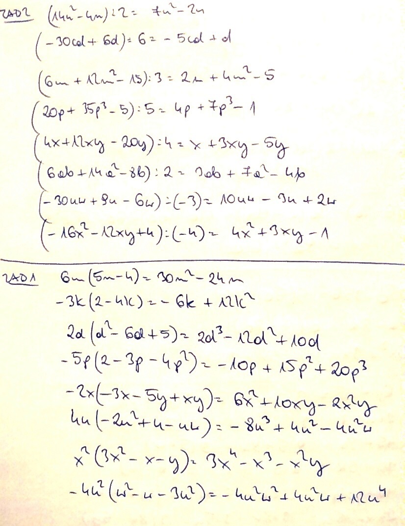
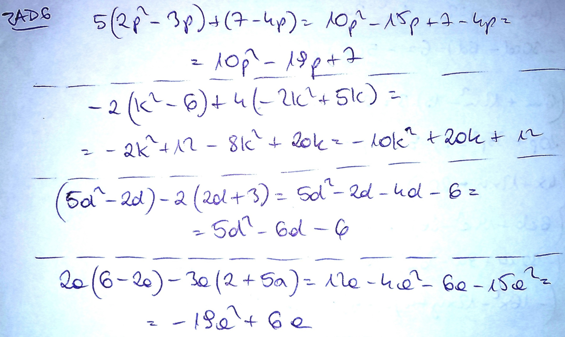
rozwiązania zestawu na zdjeciach
Załączniki
Dodawanie komentarzy zablokowane - Zgłoś nadużycie