Treść zadania
Autor: agafa Dodano: 4.12.2015 (16:11)
1.usuń niewymierność z mianownika
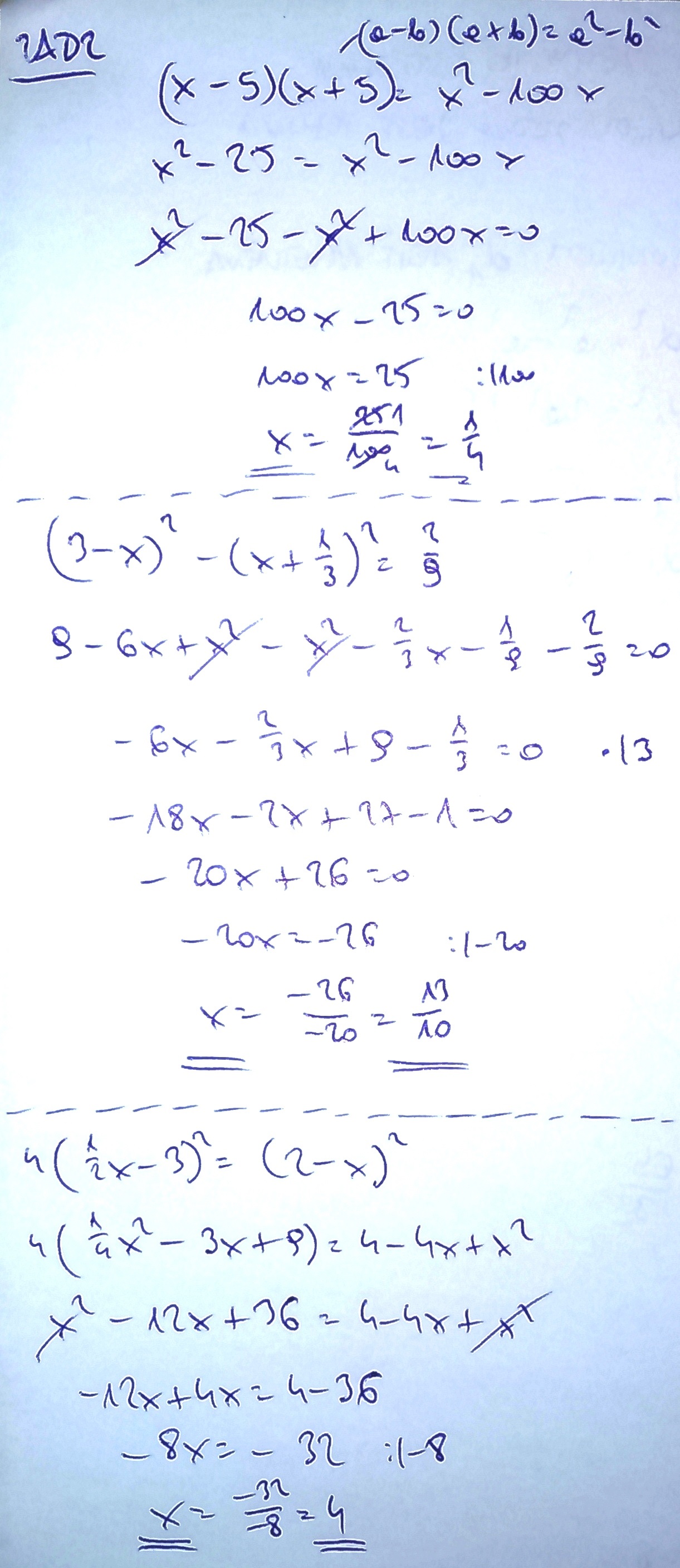
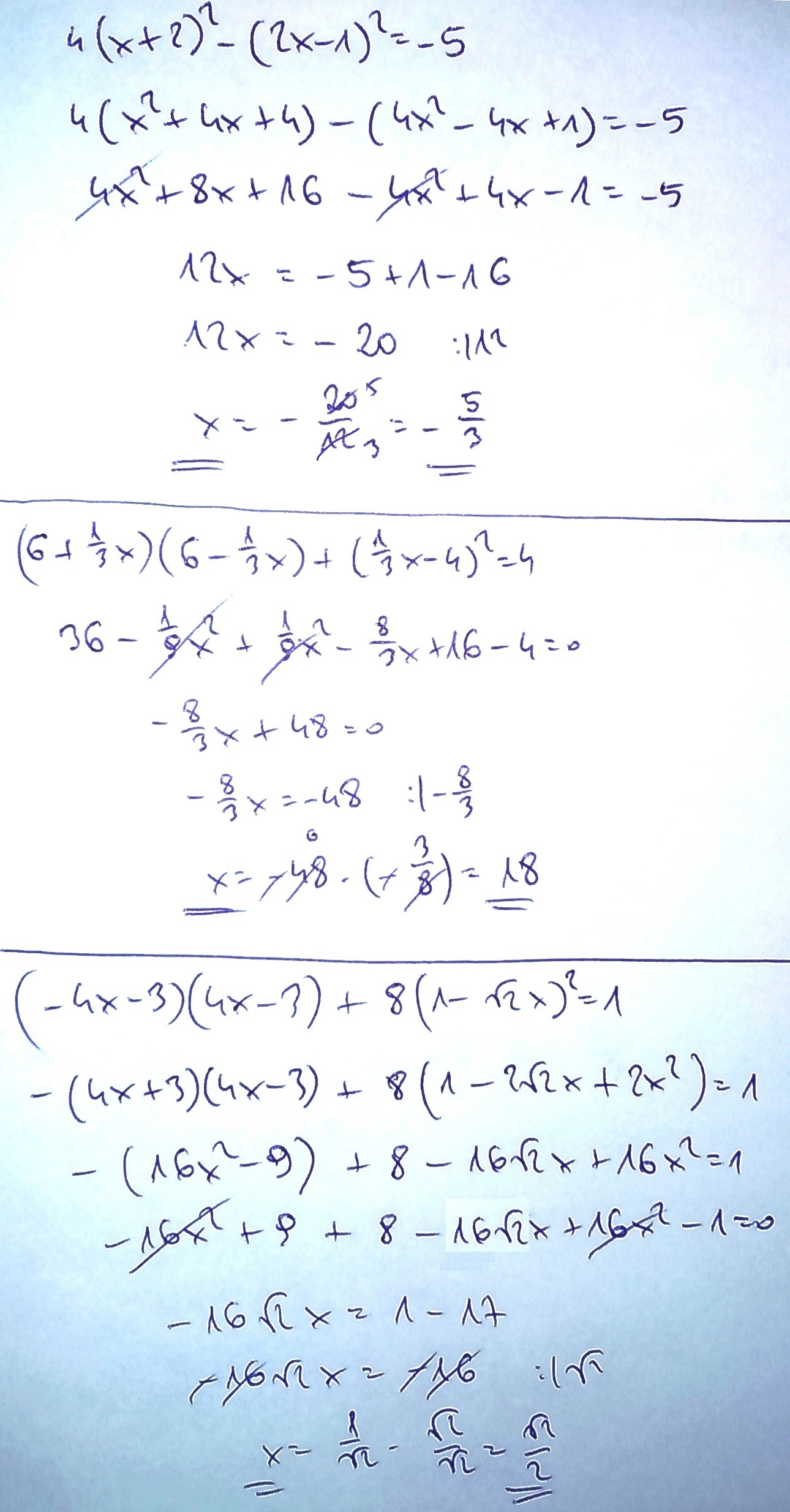
2.rozwiąż równanie
proszę o rozwiązania ,a nie same wyniki DAJE NAJ
Zadanie jest zamknięte. Autor zadania wybrał już najlepsze rozwiązanie lub straciło ono ważność.
Najlepsze rozwiązanie
Rozwiązania
0 odpowiada - 0 ogląda - 1 rozwiązań
3 0
werner2010 4.12.2015 (21:35)
rozwiązania w załączniku
Załączniki
Dodawanie komentarzy zablokowane - Zgłoś nadużycie