Zaliczaj.pl
Liceum » Matematyka
Dodaj do ulubionych Drukuj
Autor: majster1993 Dodano: 1.12.2015 (18:19)
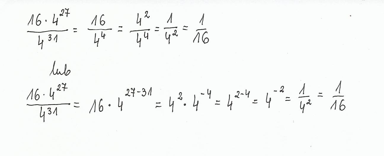
16*4 do potęgi 27 / 4 do potęgi 31 =
Zgłoś nadużycie
Zadanie jest zamknięte. Autor zadania wybrał już najlepsze rozwiązanie lub straciło ono ważność.
3 1
ewka13 1.12.2015 (19:05)
Rozwiązanie w załączniku...
Dodawanie komentarzy zablokowane - Zgłoś nadużycie
0 odpowiada - 0 ogląda - 1 rozwiązań
Zobacz więcej opcji
3 1
ewka13 1.12.2015 (19:05)
Rozwiązanie w załączniku...
Załączniki
Dodawanie komentarzy zablokowane - Zgłoś nadużycie