Treść zadania

~Natalia

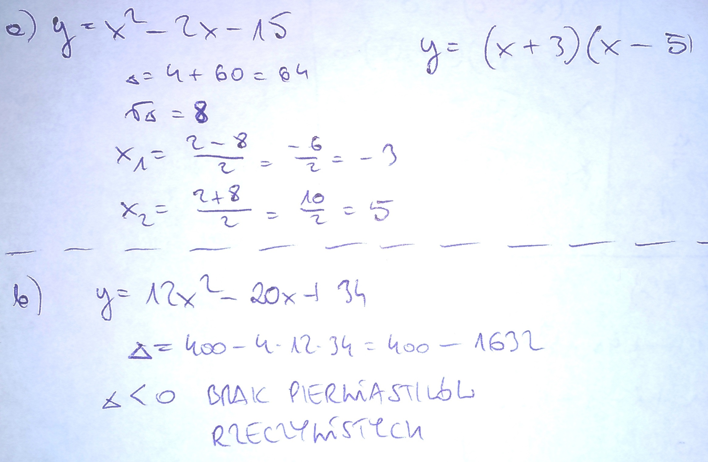
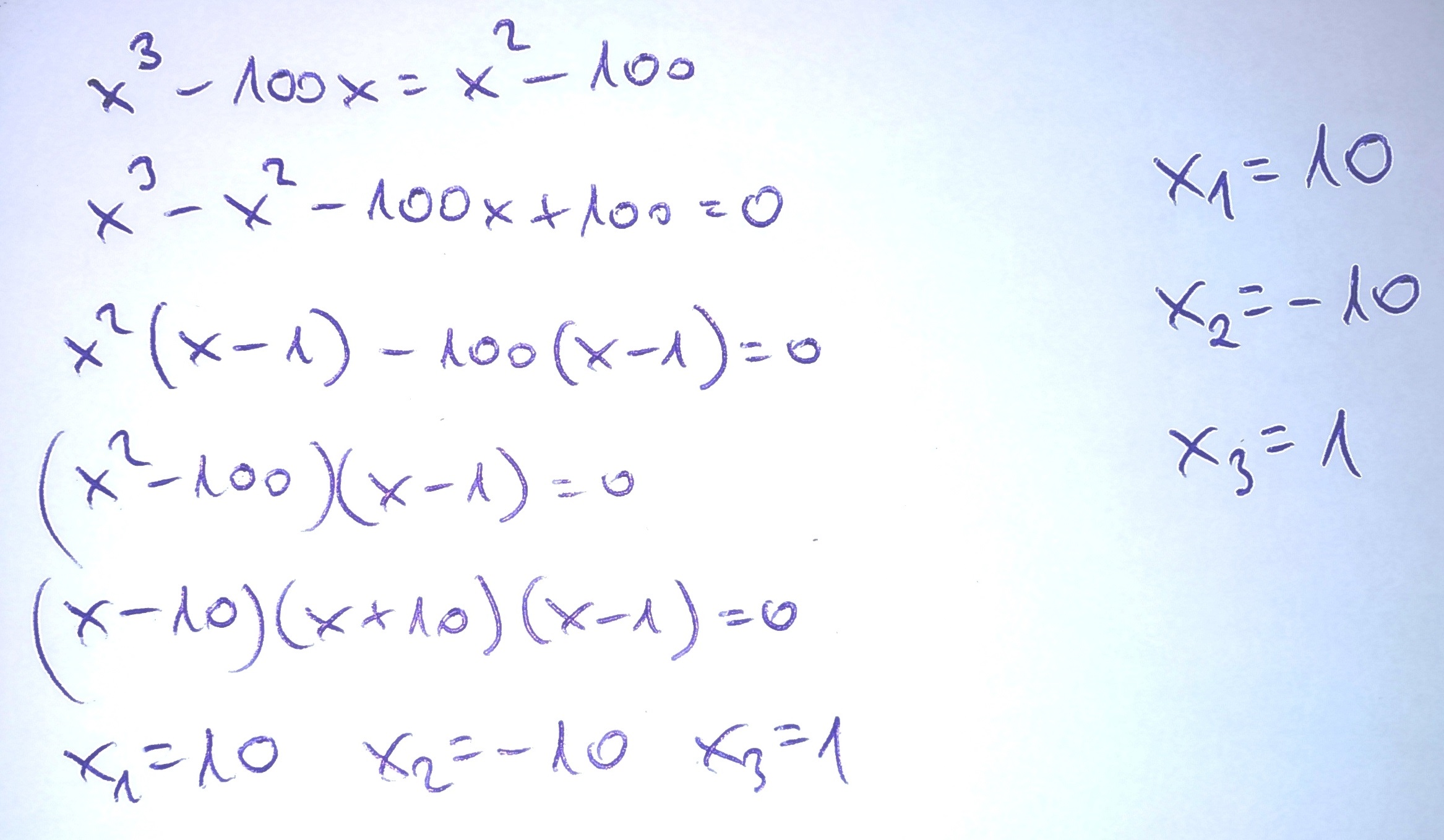
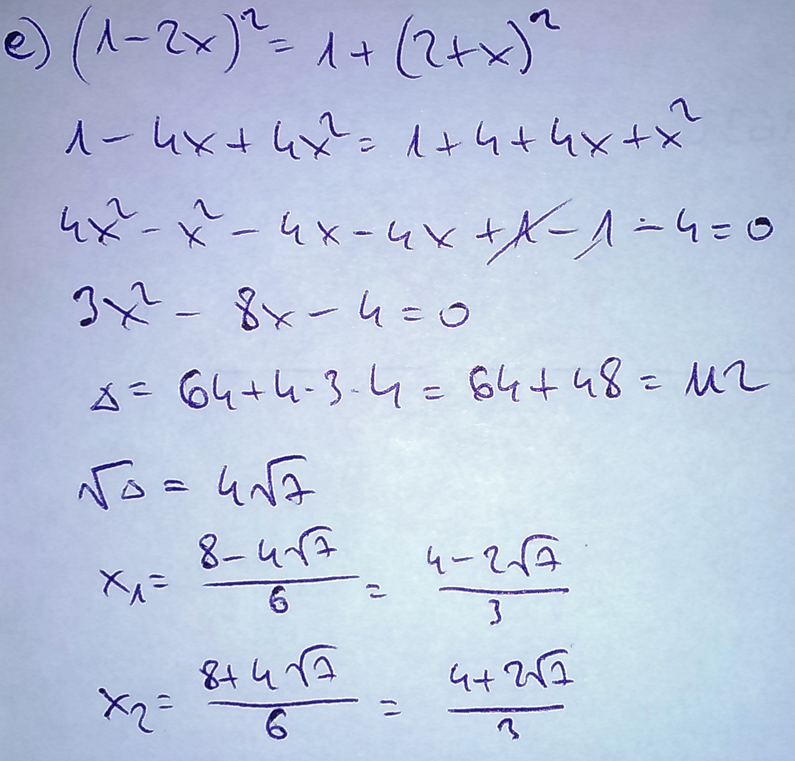
2.Rozwiąż równania: a) x kwadrat - 7x + 6=0 , b) 5x kwadrat - 4x- 1, c) - 7t+ 5t + 12= 0, d) 8x kwadrat- 16= 0, e) (1-2x ) kwadrat= 1 +(2+x) kwadrat, f) x kwadrat-( 1+ pierwiastek z 2) x+ pierwiastek z 2= 0 3. Rozłóż na czynniki liniowe podane trójmiany: a) y= x kwadrat-2 x- 15, b) y= 12 x kwadrat - 20 x+ 3 4. Rozwiąż nierówności: a) x kwadrat- 8x+ 12 < 0 , b) x kwadrat+12 x > - 24 c) 9 x kwadrat - 4 >_ 0 , d) ( 3 x- 1) kwadrat- 4( 2-x) kwadrat > 0 WIELOMIANY 5. a) 3x ( piątka do góry )= 12x( trójka do góry) , b) 6x(czwórka do góry)- 12 x(trójka do góry)+6 x do kwadratu=0 , c) x(trójka do góry)- 3 x do kwadratu- 4 x+ 12= 0 , d) x(trójka do góry)- 100 x= x do kwadratu- 100. Zadanie potrzebuję na jutro. Dziękuję za pomoc

Zgłoś nadużycie

Komentarze do zadania

  • Poza tym może spróbuj pisać każdy podpunkt w osobnej linijce
    i może używaj symboli:
    x^2 - znaczy "x do kwadratu" ; x^3 - znaczy "x do sześcianu" itd.

  • Masz tu pięć zadań, a wszystkie z podpunktami- za dużo

Zadanie jest zamknięte. Autor zadania wybrał już najlepsze rozwiązanie lub straciło ono ważność.

Rozwiązania

Podobne zadania

jjmil Uzasadnij że kwadrat wysokości poprowadzonej z wierzchołka kąta Przedmiot: Matematyka / Liceum 1 rozwiązanie autor: jjmil 12.4.2010 (21:55)
iwona5000 wykres funkcji kwadratowej f(x)=3(x+1)kwadrat-4 NIE MA punktów wspólnych z Przedmiot: Matematyka / Liceum 1 rozwiązanie autor: iwona5000 17.4.2010 (11:27)
iwona5000 Jaka jest najmniejsza wartość funkcji kwadratowej f(x)= x kwadrat +4x-3 w Przedmiot: Matematyka / Liceum 1 rozwiązanie autor: iwona5000 17.4.2010 (11:31)
ewik Dany jest kwadrat o przeciwległych wierzchołkach A= (1,5) C=(-3,-5). Przedmiot: Matematyka / Liceum 1 rozwiązanie autor: ewik 23.4.2010 (23:13)
ania5510 f(x)= -x2(kwadrat) - 6x + 9 Przedmiot: Matematyka / Liceum 1 rozwiązanie autor: ania5510 16.5.2010 (18:43)

0 odpowiada - 0 ogląda - 1 rozwiązań

Dodaj zadanie

Zobacz więcej opcji