Treść zadania

Dorotka222

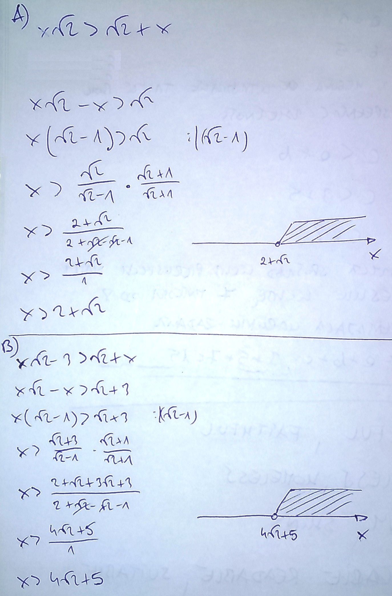
Roz.8.22 str.65 Rozwiąż nierówność i zaznacz zbiór rozwiązań na osi liczbowej.
A) x pierwiastek z 2>pierwiastek z 2 +x
B) x pierwiastek z 2-3>pierwiastek z 2+x
C) x+3 pierwiastek z 3 (większe lub równe) x pierwiastek z 3 + 1
D) 2x+3<pierwiastek z 5 (x+1)

Zadanie jest zamknięte. Autor zadania wybrał już najlepsze rozwiązanie lub straciło ono ważność.

Rozwiązania

Podobne zadania

dalia ZAZNACZ PODANY PRZEDZIAŁ NA OSI LICZBOWEJ.OPISZ ZA POMOCĄ NIERÓWNOŚCI Przedmiot: Matematyka / Liceum 1 rozwiązanie autor: dalia 21.4.2010 (10:37)
Picia Zaznacz w układzie współrzędnych Przedmiot: Matematyka / Liceum 1 rozwiązanie autor: Picia 14.9.2010 (19:07)
Inna Zaznacz na osi liczbowej podane zbiory : C={x : x należy N ^ x>10 ^ x Przedmiot: Matematyka / Liceum 1 rozwiązanie autor: Inna 17.9.2010 (20:52)
Nieznany Zad.1 Zaznacz ma osi liczbowej podane zbiory a) D={x:x nalezy do C ^ x jest Przedmiot: Matematyka / Liceum 1 rozwiązanie autor: Konto usunięte 28.9.2010 (20:05)
andzia2323 wyznacz zbiory i zaznacz na osi liczbowej; a) (∞;3)∩<1;7) b) Przedmiot: Matematyka / Liceum 2 rozwiązania autor: andzia2323 20.10.2010 (18:43)

0 odpowiada - 0 ogląda - 1 rozwiązań

Dodaj zadanie

Zobacz więcej opcji