Treść zadania
Autor: ~Dominik Dodano: 29.9.2015 (17:16)
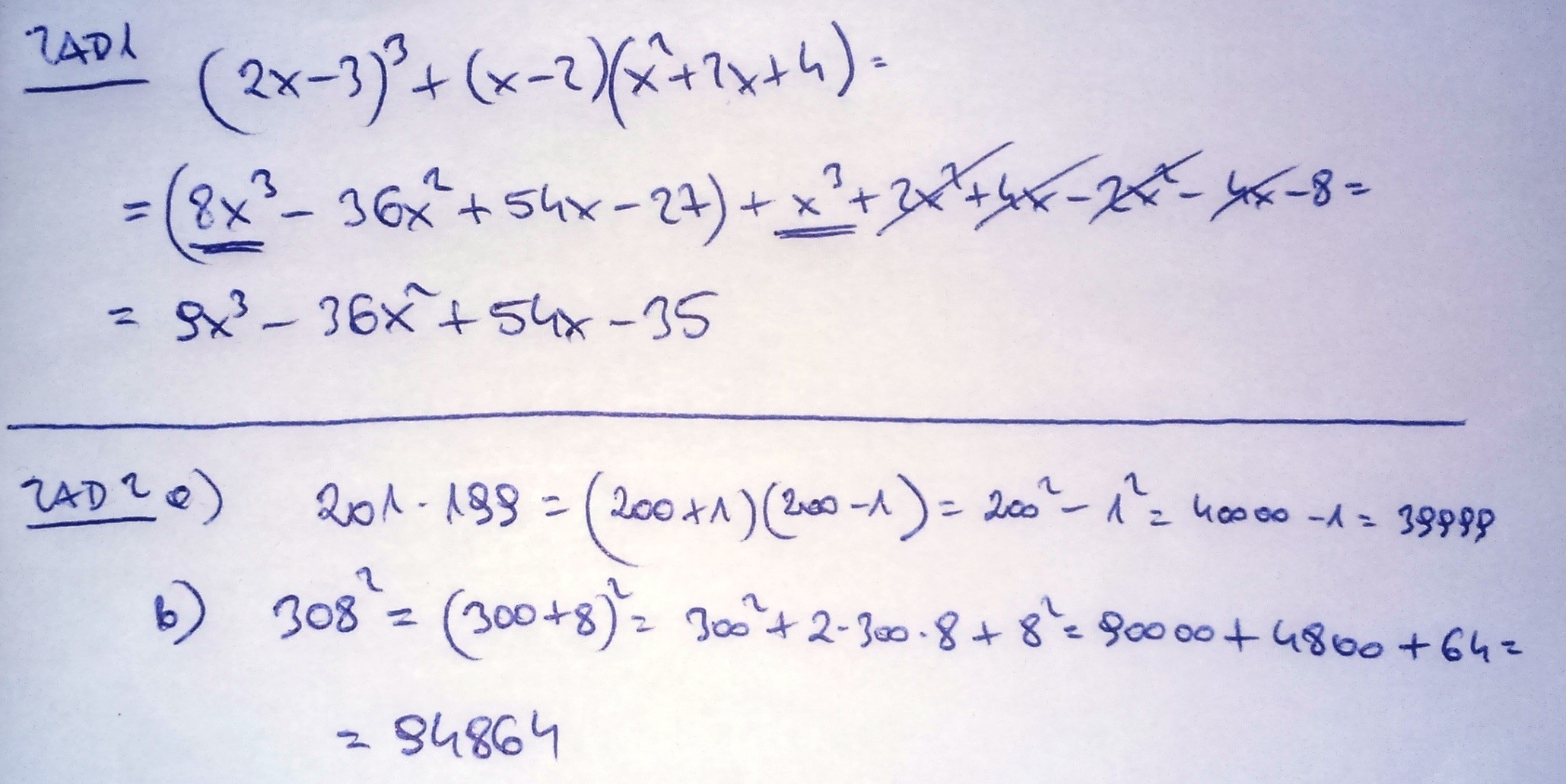
1.Dane wyrażenie doprowadź do prostszej postaci (2x-3)³+(x-2)(x ²+2x+4)=
2.Nie używając kalkulatora,oblicz sprytnie
a)201*199=
b)308 ²=
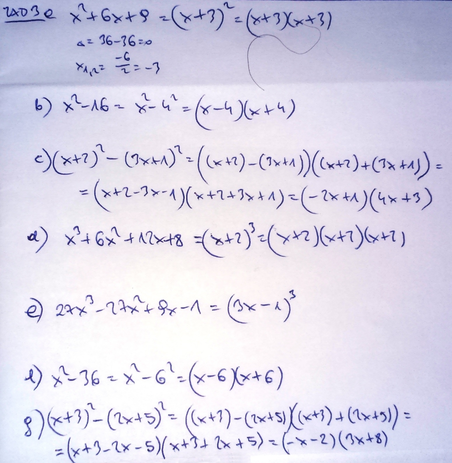
3zapisz wyrażenie w postaci iloczynu
a)x ²+6x+9
b)x ²-16
c) (x+2) ²-(3x+1) ²
d)x³+6x²+12x+8
e)27x³-27²+9x-1
f) x²-36
g) (x+3)²-(2x+5)²
Zadanie jest zamknięte. Autor zadania wybrał już najlepsze rozwiązanie lub straciło ono ważność.
Rozwiązania
Podobne zadania
|
|
1 rozwiązanie | autor: angelika1990 8.4.2010 (18:05) |
|
|
2 rozwiązania | autor: aluszacedro 12.4.2010 (15:22) |
|
|
2 rozwiązania | autor: lukaszunkile 18.4.2010 (16:17) |
|
|
2 rozwiązania | autor: Aneciorek 20.4.2010 (20:46) |
|
|
2 rozwiązania | autor: dalia 20.4.2010 (22:11) |
Podobne materiały
Przydatność 50% Postacie
Banach-matematyk, profesor Uniwesyt Lwows. Beck-polityk,szef gabinetu ministra spraw wojskowych,pracownik Piłsudskiego Beria-szef NKWD,usprawnienie pracy aparatu bezpieczeństwa,powołanie szkoły dla NKWD Budionny-marszałek ZSRR,dowódca Armii Czerwonej,umocnił i zmodernizował siły zbrojne Chamberlain-konserwatywny polityk brytyjski,premier,rzecznik ustępstw przeciw hitlerowcom...
Przydatność 55% Postacie historyczne
Władysław Bortnowski (1881-1966) Władysław Bortnowski, generał, od 1908 roku w Związku Walki Czynnej. W latach 1914-17 członek Legionów Polskich, a od 1918 roku zajmował wyższe stanowiska w Wojsku Polskim. Od 1925 roku był w służbie liniowej. W roku 1932 roku został generałem brygady, a w cztery lata później - generałem dywizji. W październiku 1938 roku stanął na czele...
Przydatność 80% Autocharakterystyka postaci.
Nazywam się Rafał. Urodziłem się w Województwie Warmińsko-Mazurskim, a dokładniej w Giżycku. Mieszkam w Łomży w domu jednorodzinnym z rodzicami, dwoma braćmi i dziadkiem. Mam 16 lat i obecnie uczęszczam do I klasy technikum Informatycznego. Jestem średniego wzrostu i wagi o brązowych włosach. Mam piwne oczy oraz jasną cerę. Ubieram się raczej luźno i na...
Przydatność 55% Barok (postacie)
Barok- kierunek w kulturze europejskiej XVII i pierwszej połowy XVIII w. Narodził się we Włoszech. Cechował go dynamizm, rozmach, przepych, odwoływanie się do uczuć odbiorcy, różnorodność i kontrastowość. Na ogół wywodzi się go z portugalskiego słowa barocco oznaczającego nieforemną perłę. Początkowo barok uważano za coś nienaturalnego, przesadnego i dziwacznego....
Przydatność 70% Urszulka Kochanowska - charakterystyka postaci.
Urszulka była córką wybitnego poety epoki renesansu Jana Kochanowskiego. Chodziła zawsze pięknie ubrana w sukienki z falbankami własnoręcznie szyte dla niej przez matkę. W długie włosy miała wplecione kolorowe kokardki i wstążki . Ta dwu i pól letnia dziewczynka sprawiała, że dom państwa Kochanowskich był pełen śmiechu, życia i wzajemnej miłości. Była wesoła...
0 odpowiada - 0 ogląda - 1 rozwiązań
0 0
werner2010 29.9.2015 (20:48)
rozwiązania na zdjęciach
Załączniki
Dodawanie komentarzy zablokowane - Zgłoś nadużycie