Treść zadania
Autor: balonik2a Dodano: 25.9.2015 (07:44)
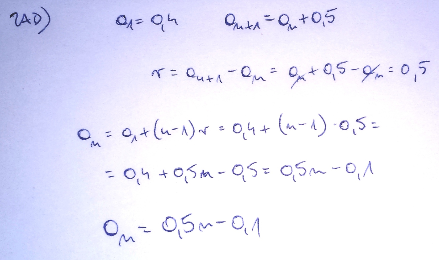
zapisz wzór ogólny ciągu arytmetycznego an w którym a1=0,4 i an+1 = an+0,5
Zadanie jest zamknięte. Autor zadania wybrał już najlepsze rozwiązanie lub straciło ono ważność.
Najlepsze rozwiązanie
Rozwiązania
Podobne zadania
|
|
1 rozwiązanie | autor: xagusiax007 14.4.2010 (19:21) |
|
|
1 rozwiązanie | autor: patrycja0031 15.4.2010 (19:34) |
|
|
1 rozwiązanie | autor: sylwia25 19.4.2010 (18:44) |
|
|
2 rozwiązania | autor: Aneciorek 20.4.2010 (20:46) |
|
|
2 rozwiązania | autor: dalia 20.4.2010 (22:11) |
Podobne materiały
Przydatność 60% List do koleżanki z zagranicy, w ktrym zachęcam do zwiedzenia wybranej miejscowości w Polsce.
Bydgoszcz, 02.02.2006r. Droga Kate, Wiem, że w Anglii znajduje się wiele ciekawych obiektów do zwiedzania, jednak chciałabym Cię zaprosić, na krótką wycieczkę po stolicy Polski. Myślę, że obiektem, który najbardziej by Cię zainteresował jest Pałac Kultury i...
Przydatność 55% "Zadaj sobie pytanie: dlaczego tylu bogatych ludzi bywa nieszczęśliwych ? chyba znam odpowiedź na to pytanie JP II. A czy Ty znasz tę odpowiedź. Zapisz swoje rozważania w formie rozbudowanego wniosku."
Idę ulicą. Dookoła tyle szarych domów, zabiegani, zapracowani ludzie, skupieni tylko na zarabianiu pieniędzy. Materialiści. Liczy się dla nich tylko to, by zarobić danego dnia, miesiąca jak najwięcej pieniędzy, lecz czy na tym życie polega?! Uważam, że nie. Życie to nie tylko praca i pieniądze. Istnieją także inne wartości, które są ważniejsze od rzeczy materialnych....
0 odpowiada - 0 ogląda - 1 rozwiązań
1 0
werner2010 25.9.2015 (19:58)
rozwiązanie w załączniku
Załączniki
Dodawanie komentarzy zablokowane - Zgłoś nadużycie