Treść zadania

madzialena321

pomozcie!
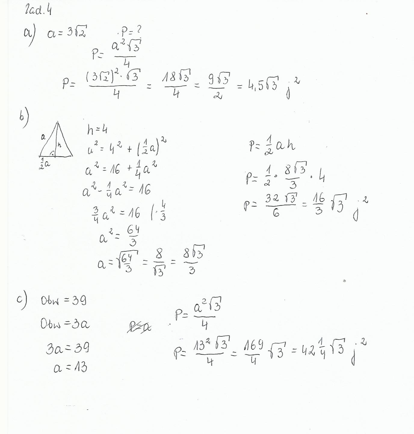
Zad.4 Oblicz pole trójkąta równobocznego gdy;
a)długośc boku jest równa 3√2,
b)wysokość jest równa4,
c)obwód jesat równy 39.

Zadanie jest zamknięte. Autor zadania wybrał już najlepsze rozwiązanie lub straciło ono ważność.

Rozwiązania

Podobne zadania

martusb93 oblicz: (tg30-ctg30)/cos30 Przedmiot: Matematyka / Liceum 2 rozwiązania autor: martusb93 29.3.2010 (18:20)
lusi1069 pole przekroju walca płaszczyzną równoległa do podstawy jest równe 49/pi a Przedmiot: Matematyka / Liceum 1 rozwiązanie autor: lusi1069 30.3.2010 (16:42)
olo oblicz objętość i pole powierzchni stożka o promieniu podstawy r,jeżeli Przedmiot: Matematyka / Liceum 1 rozwiązanie autor: olo 30.3.2010 (18:23)
olo obliczobiętość i pole powierzchni całkowitej stożka o wysokości h Przedmiot: Matematyka / Liceum 1 rozwiązanie autor: olo 30.3.2010 (18:36)
angelika1990 1)Dane są wielomiany Oblicz W(x)=x³-2x+1 W(x)+Q(x) Q(x)=-x³+3x Przedmiot: Matematyka / Liceum 1 rozwiązanie autor: angelika1990 8.4.2010 (18:05)

Podobne materiały

Przydatność 65% Oblicze Ojczyzny

(praca z 1 klasy gima) słowa w wierszu "*** (oblicze ojczyzny)" Tadeusza Różewicza "na początku ojczyzna jest blisko, na wyciągnięcie ręki" oznaczają, że gdy jesteśmy jeszcze mali ojczyzna to rodzice, koledzy i koleżanki, to nasz dom, nasze podwórko. ważniejsze jest wtedy dla nas to, że koleżance zaginął kot, a nie że wielu ludzi nie ma pracy i nie ma za co wyżywić...

Przydatność 55% wiersz Oblicze ojczyzny

Czytając wiersz Tadeusz Różewicza pt.Oblicze ojczyzny odnoszę wrażenie,iż poeta miał szczęśliwe dzieciństwo,chociaż lata w których przyszło mu dorastać nie należały do spokojnych.Wojna i okupacja nie zatarły jednak beztroskich i pełnych ciepłych barw wspomnień poety. Kiedy jest się dzieckiem,całym światem są najbliżsi: mama,tata i...

Przydatność 65% Drugie oblicze opalania

Praca w załączniku

Przydatność 55% Pole elektrostatyczne

Polem elektrostatycznym nazywamy własność przestrzeni polegająca na tym że na umieszczone w tej przestrzeni ciała naelektryzowane działa siła elektryczna. Natężeniem pola elektrostatycznego w danym punkcie nazywamy stosunkiem siły działającej na umieszczony w tym punkcie próbny ładunek dodatni q+ do tego ładunku. Super pozycją pul nazywamy sumę natężeń w danym punkcie pola...

Przydatność 50% Pole magnetyczne

1. Działanie pola magnetycznego na ładunki elektryczne Pole magnetyczne – właściwość przestrzeni polegająca na tym, że jeżeli w tej przestrzeni umieścimy magnesy lub przewodniki, przez które przepływa prąd elektryczny lub poruszające się ładunki elektryczne, to będą na nie działały siły magnetyczne. Siłę działającą na przewodnik, przez który przepływa prąd...

0 odpowiada - 0 ogląda - 1 rozwiązań

Dodaj zadanie

Zobacz więcej opcji