Treść zadania

Paulad43

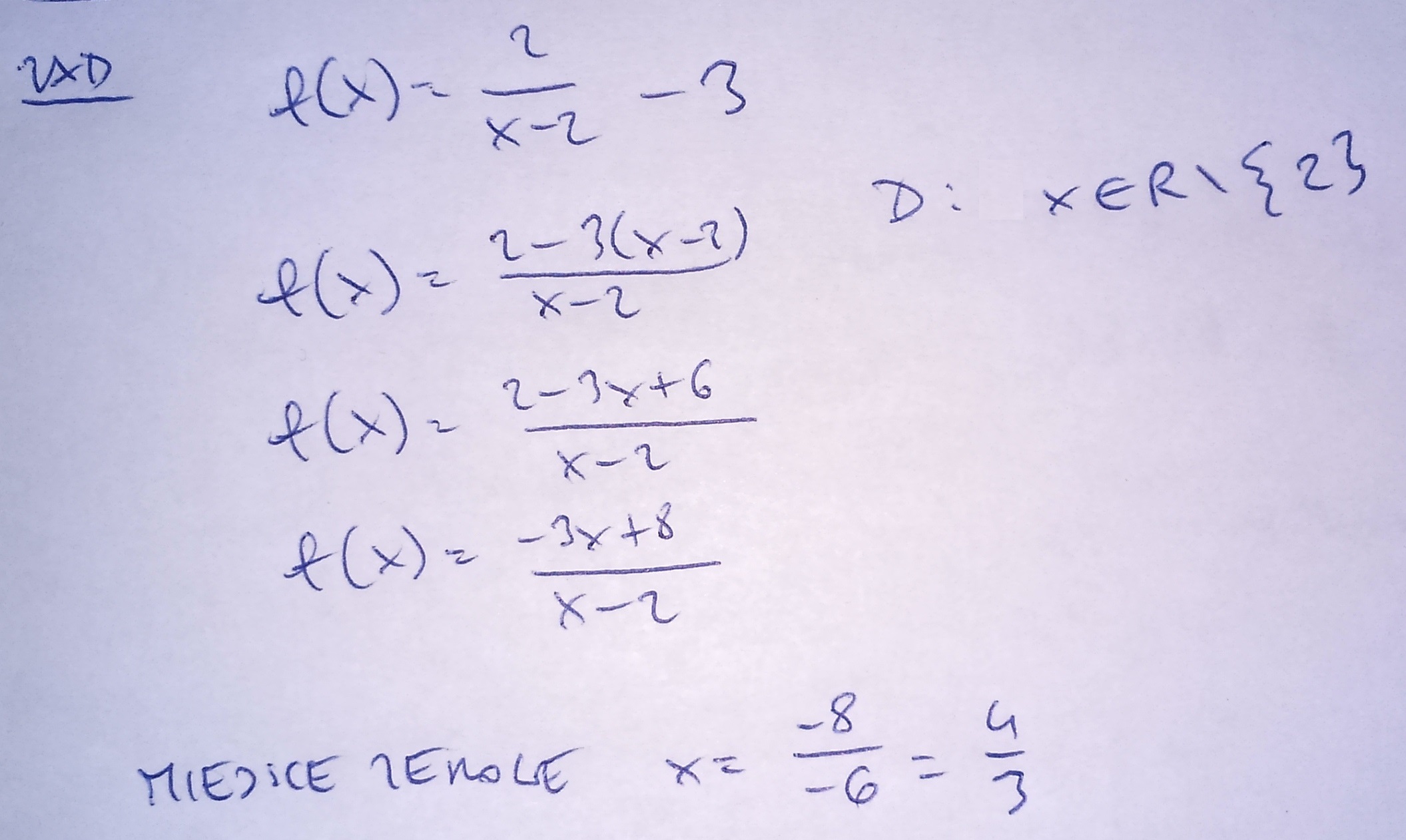
5. Naszkicuj wykres funkcji f(x)= 2/x-2 -3 . Określ jej dziedzinę i podaj miejsce zerowe

Zadanie jest zamknięte. Autor zadania wybrał już najlepsze rozwiązanie lub straciło ono ważność.

Rozwiązania

Podobne zadania

Nieznany Wypisz własności funkcji y=cos x Przedmiot: Matematyka / Liceum 1 rozwiązanie autor: Konto usunięte 8.4.2010 (18:17)
iwona5000 wykres funkcji kwadratowej f(x)=3(x+1)kwadrat-4 NIE MA punktów wspólnych z Przedmiot: Matematyka / Liceum 1 rozwiązanie autor: iwona5000 17.4.2010 (11:27)
iwona5000 Jaka jest najmniejsza wartość funkcji kwadratowej f(x)= x kwadrat +4x-3 w Przedmiot: Matematyka / Liceum 1 rozwiązanie autor: iwona5000 17.4.2010 (11:31)
kamcia07-15 mIEJSCE ZEROWE FUNKCJI Przedmiot: Matematyka / Liceum 1 rozwiązanie autor: kamcia07-15 18.4.2010 (20:35)
lukaszunkile Napisz wzór funkcji liniowej, której wykres przecina oś X w punkcie 3, a oś Przedmiot: Matematyka / Liceum 1 rozwiązanie autor: lukaszunkile 19.4.2010 (16:42)

Podobne materiały

Przydatność 65% Wykres równowagi układu żelazo

Wykres równowagi układu żelazo-węgiel, to wykres , który odzwierciedla równowagę fazową w stopach żelaza z węglem. Jest przedstawiany w dwóch wersjach : jako stabilny żelazo-grafit i metastabilny żelazo-cementyt Fe3 C. Pierwszy jest stosowany do opisu żeliw /surówek/ szarych, a drugi do stali i surówek białych. Wykres metastabilny rysowany jest linią ciągłą, a stabilny...

Przydatność 50% Klasyfikacja dziedzin przemyslu(sciąga)

Klasyfikacja dziedzin przemyslu : 1.Przemysl wydobywczy 2.Przemysl przetwórczy a)energetyczny b)metalurgiczny c)elektromaszynowy -metalowy -maszynowy -samochodowy(ś.t) (ś.t) znaczy: -stoczniowy(ś.t) przem.środków -lotniczy(ś.t) transportu -taboru kolejowego(ś.t) d)chemiczny -chemiczny ciężki -chemiczny lekki Jfarmaceutyczny...

Przydatność 60% Minimalizacja funkcji logicznych

Minimalizacja funkcji logicznych

Przydatność 55% Gradient funkcji. Różniczka zupełna

Gradient funkcji. Różniczka zupełna

Przydatność 60% Własności funkcji liniowej

Jest to prezentacja multimedialna Mspp2003 mojego autorstwa spakowana w archiwum winrara. Osobiście robiłem ją na 4 z matmy także jest okej. Pozdrawiam

0 odpowiada - 0 ogląda - 1 rozwiązań

Dodaj zadanie

Zobacz więcej opcji