Treść zadania
Autor: zimny998 Dodano: 30.4.2015 (11:50)
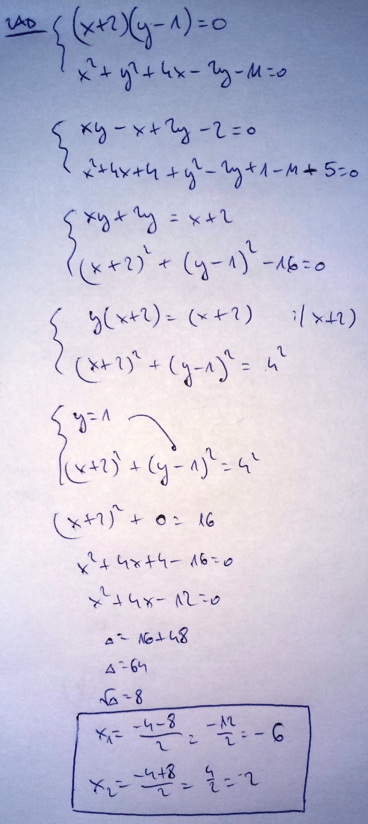
Rozwiąż układ równań
(x+2)(y-1)=0
x^ +y^ +4x-2y-11=0
(^ do kwadratu)
Zadanie jest zamknięte. Autor zadania wybrał już najlepsze rozwiązanie lub straciło ono ważność.
Najlepsze rozwiązanie
Rozwiązania
0 odpowiada - 0 ogląda - 1 rozwiązań
1 0
werner2010 30.4.2015 (21:50)
rozwiązanie sprawdzone graficznie
Załączniki
Dodawanie komentarzy zablokowane - Zgłoś nadużycie