Treść zadania
Autor: Kaliczka Dodano: 7.4.2015 (13:33)
1.Kasie kupiła 2 kg ogórków po 5,40 zł za 1 kg i 4 kg jabłek . Na zakupy wydała 24,50 zł .Ile kosztował 1 kg jabłek.
2.Rozwiąż równania
a)metodą podstawiania
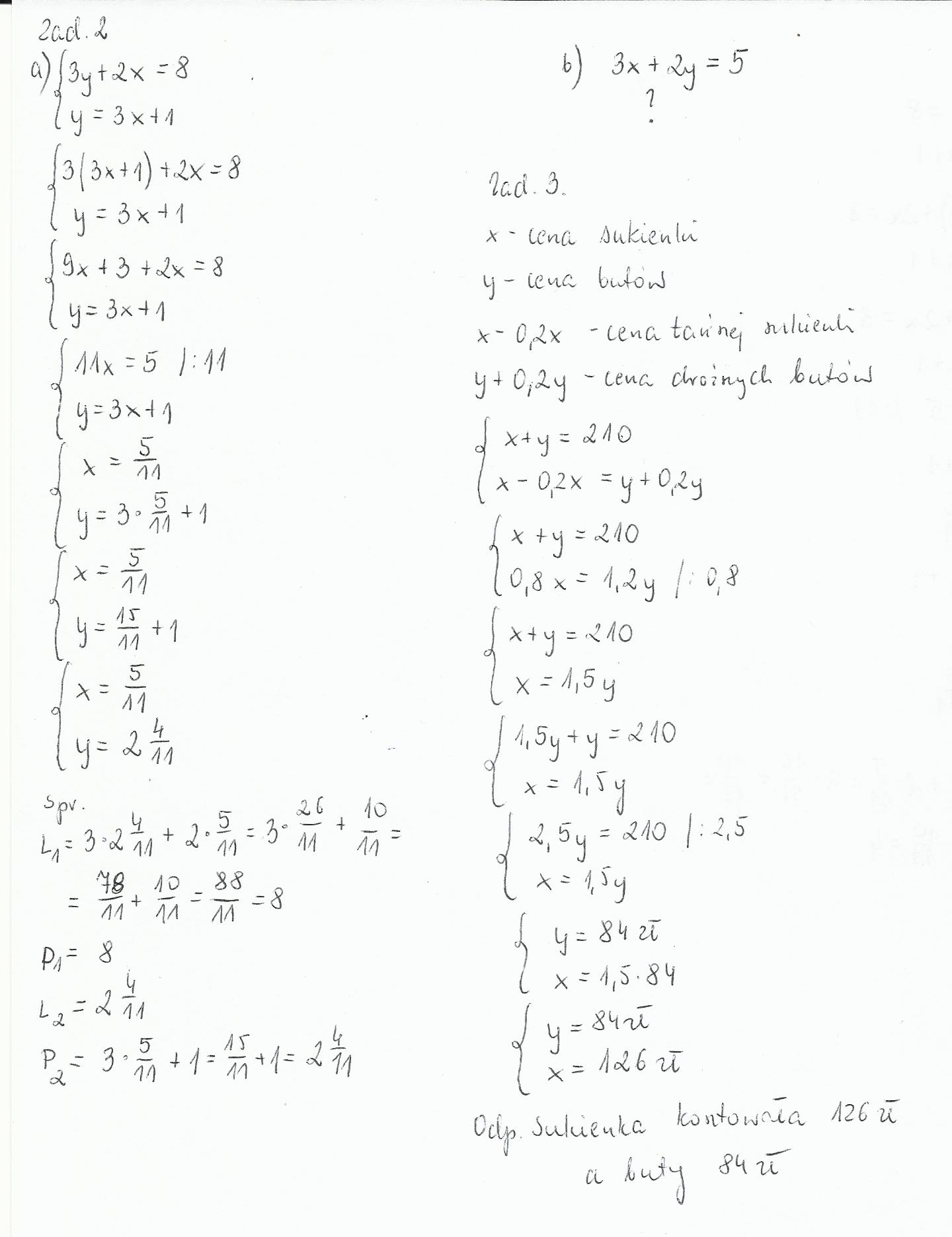
3y+2x=-8
y=3x+1
b)przeciwnych współczynników
3x+2y=5
-2y-6+-3x
3.Za sukienkę i buty ewa zapłaciła 210 zł .Gdyby sukienka była o 20 % tańsza a buty droższe o 20 % to ich ceny byłyby równe. Ile kosztowały sukienka i buty .
Komentarze do zadania
Zadanie jest zamknięte. Autor zadania wybrał już najlepsze rozwiązanie lub straciło ono ważność.
Rozwiązania
Podobne zadania
|
|
3 rozwiązania | autor: werakonie 27.6.2010 (17:20) |
|
|
4 rozwiązania | autor: werakonie 27.6.2010 (17:20) |
|
|
1 rozwiązanie | autor: mafinka 28.9.2010 (20:33) |
|
|
2 rozwiązania | autor: dagusia5642 12.10.2010 (19:42) |
|
|
1 rozwiązanie | autor: PannaMigotka 29.11.2010 (16:30) |
Podobne materiały
Przydatność 65% Zakupy
Jak robimy zakupy?'' Czyli co wpływa na to że idąc do sklepu z zamiarem kupna jednej rzeczy,wychodzimy z kilkoma siatkami zbędnych towarów... W mojej pracy chciałabym przedstawić kilka przykładów chwytów marketingowych których używają centra handlowe i mniejsze sklepy. W dzisiejszych czasach najróżniejsi specjaliści od marketingu i reklamy codziennie próbują wymyślić...
Przydatność 65% Moie zakupy
Я пошел в супермаркет для того, чтобы сделать покупки на всю неделю. При входе в супермаркет я встретился с охранником, который разговаривал по рации с другим охранником и следил за порядком. В магазине было очень...
Przydatność 80% Sport i Zakupy
Dlaczego uprawiasz sport oraz robisz zakupy w supermarkecie. Ich kaufe im Supermarkt gern, weil 1. Die Bedienung nett ist. – Obsługa jest miła 2. ich mit der Kreditkarte zahlen kann. Można płacić kartą. 3. Es alles unter einem Dach gibt. – Wszystko jest w jednym miejscu. 4. Die Lage günstig ist – gleich um die Ecke. Dobre położenie – zaraz za rogiem. 5. Alles frisch...
Przydatność 100% Zrób zakupy na tarhu warzywnym
Zrób zakupy na targu warzywnym. Legumes: Une betterave – burak Un chou –kapusta Une carotte –marchew Un cleri –seler Un concombre –ogórek Un poireau –por Une laitue –sałata Un poivron –papryka Un pinard –szpinak Une tomate –pomidor Un chou-fleur –kalafior Un haricot –fasola Une pomme de terre –ziemniaki Des petits pois –zielnoy groszek Fruits...
Przydatność 60% Hipermarket czy bazar – gdzie lepiej robić zakupy?
Zawsze lubiłam słuchać opowieści o kolejkach do pustych sklepów, mięsie spod lady i upragnionej czekoladzie. Były dla mnie bajkami, niby historyjki o ptakach-dziwakach albo wieczorne „dobranocki”. Wychowałam się w innych czasach. Nie tylko pojęcie „kolejki” zmieniło znaczenie, ale też spowszedniała szynka i czekolada. Współczesność postawiła przed nami inne zakupowe...
0 odpowiada - 0 ogląda - 2 rozwiązań
2 1
ewka13 7.4.2015 (15:41)
Zad .1
(24,50 - 2*5,40) : 4 = (24,50 - 10,80) : 4=13,70 : 4 = 3,425 ~~3,43 zł
Hmm...kg jabłek kosztował 3,43zł ...widocznie było to opakowanie zbiorcze o zaokrąglonej cenie...
Zad.2a i 3 w załączniku...
Załączniki
Dodawanie komentarzy zablokowane - Zgłoś nadużycie
0 0
werner2010 8.4.2015 (10:54)
rozwiązania na zdjęciach
Załączniki
Dodawanie komentarzy zablokowane - Zgłoś nadużycie