Treść zadania

Martyna14200

Trygonometria. Bardzo proszę o pomoc w rozwiązaniu zadań :)
Zad1
Oblicz :
a) tg 120°- tg150°/ 2 cos 150°

b) sin150°+cos120° / 6 tg120°

Zad 2
a) Punkt P leży na ramieniu końcowym kąta alfa . Przedstaw ten kąt na rysunku . Oblicz wartości jego funkcji trygonometrycznej jeżeli P (-6,8)

b) Punkt P leży na ramieniu końcowym kąta alfa . Przedstaw ten kąt na rysunku. Oblicz wartości jego funkcji trygonometrycznych jeżeli P (-7,9)

Zad 3
a ) Kąt alfa jest ostry , a cos alfa = 2/3 oblicz :

sin ^2 alfa + cos2alfa / tg alfa

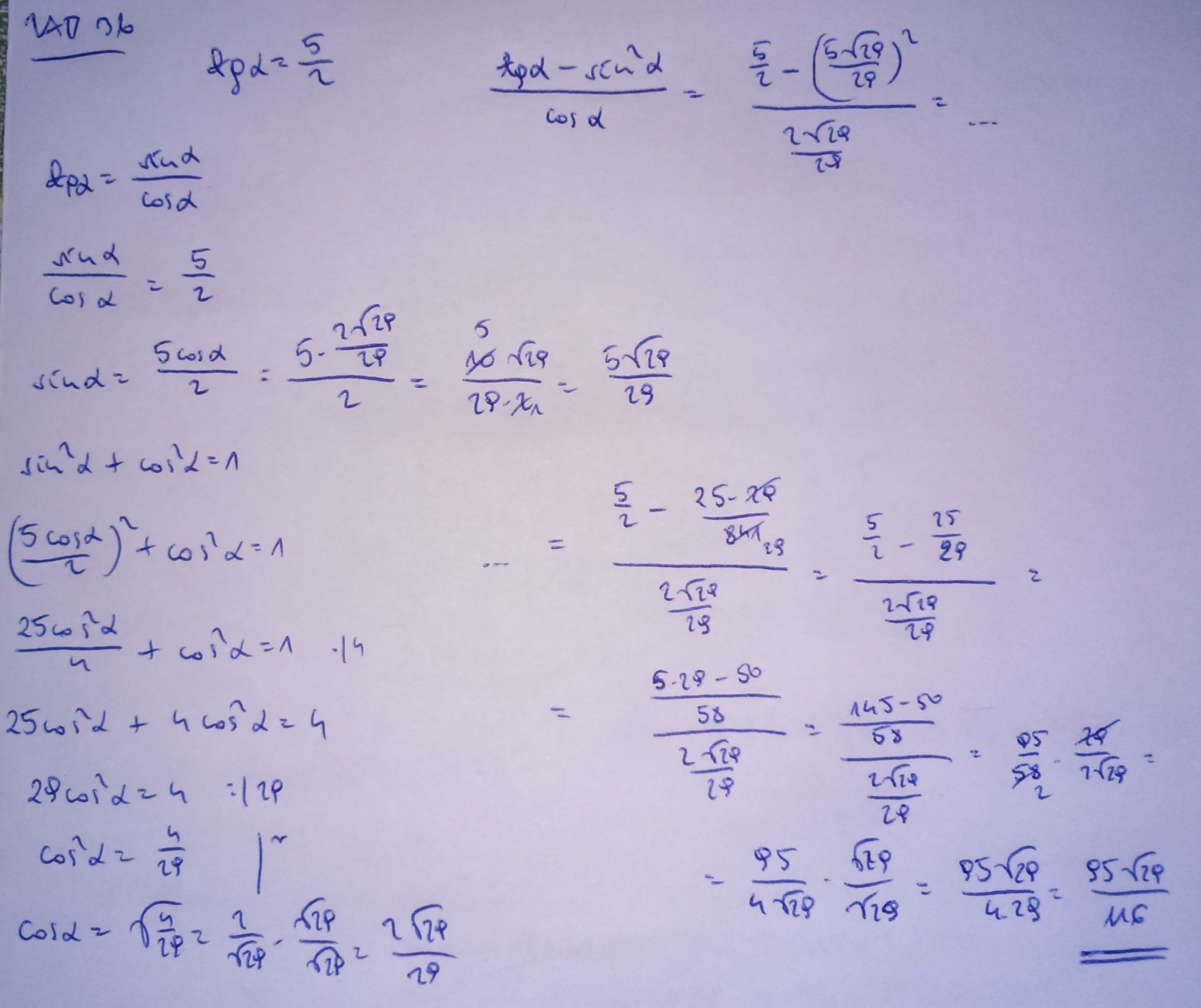
b) Kąt alfa jest ostry , a tgalfa = 5/2 oblicz :

tg alfa- sin^2 alfa/ cos alfa

Zad 4

a) Rozwiąż trójkąt prostokątny mając dane : alfa = 45° c = 8

b) Rozwiąż trójkąt prostokątny mając dane : beta = 45° a=5


Zad 5
a )Uzasadnij równość :
1/1-sin alfa + 1/1+sin alfa = 2/ cos alfa

b) 1 / 1- cos alfa + 1 / 1+ cos alfa = 2/ sin ^ 2 alfa


Zad 6

a) W trójkącie prostokątnym tangens konta ostrego alfa wynosi 2 a przeciwprostokątna ma długość 25 cm . Oblicz obwód tego trójkąta


b) W trójkącie równoramiennym podstawa ma 8√30 ma ramię 8 cm . Jakie są miary kątów tego trójkąta ?

Zadanie jest zamknięte. Autor zadania wybrał już najlepsze rozwiązanie lub straciło ono ważność.

Najlepsze rozwiązanie

Rozwiązania

Podobne zadania

Nieznany Trygonometria Przedmiot: Matematyka / Liceum 1 rozwiązanie autor: Konto usunięte 28.3.2010 (19:55)
martusb93 oblicz: (tg30-ctg30)/cos30 Przedmiot: Matematyka / Liceum 2 rozwiązania autor: martusb93 29.3.2010 (18:20)
olo oblicz objętość i pole powierzchni stożka o promieniu podstawy r,jeżeli Przedmiot: Matematyka / Liceum 1 rozwiązanie autor: olo 30.3.2010 (18:23)
angelika1990 1)Dane są wielomiany Oblicz W(x)=x³-2x+1 W(x)+Q(x) Q(x)=-x³+3x Przedmiot: Matematyka / Liceum 1 rozwiązanie autor: angelika1990 8.4.2010 (18:05)
kotek93 oblicz miary kątów trójkąta równoramiennego, w którym: a)kąt przy Przedmiot: Matematyka / Liceum 1 rozwiązanie autor: kotek93 12.4.2010 (17:04)

Podobne materiały

Przydatność 65% Oblicze Ojczyzny

(praca z 1 klasy gima) słowa w wierszu "*** (oblicze ojczyzny)" Tadeusza Różewicza "na początku ojczyzna jest blisko, na wyciągnięcie ręki" oznaczają, że gdy jesteśmy jeszcze mali ojczyzna to rodzice, koledzy i koleżanki, to nasz dom, nasze podwórko. ważniejsze jest wtedy dla nas to, że koleżance zaginął kot, a nie że wielu ludzi nie ma pracy i nie ma za co wyżywić...

Przydatność 55% wiersz Oblicze ojczyzny

Czytając wiersz Tadeusz Różewicza pt.Oblicze ojczyzny odnoszę wrażenie,iż poeta miał szczęśliwe dzieciństwo,chociaż lata w których przyszło mu dorastać nie należały do spokojnych.Wojna i okupacja nie zatarły jednak beztroskich i pełnych ciepłych barw wspomnień poety. Kiedy jest się dzieckiem,całym światem są najbliżsi: mama,tata i...

Przydatność 65% Drugie oblicze opalania

Praca w załączniku

Przydatność 85% Oblicz masę cząsteczkową kwasu siarkowodorowego.

Wzór kwasu siarkowodorowego jest taki: H2S więc trzeba pomnożyć dwa razy masę atomową wodory i dodać masę siarki 2*1u+ 32u = 2u + 32u = 34u Odp. Masa cząsteczkowa H2S wynosi 34u.

Przydatność 80% Pierwsza pomoc - pomoc przedmedyczna

Pierwsza Pomoc Przedmedyczna Pierwsza pomoc przedmedyczna to czynności ratownika (osoby udzielającej pierwszą pomoc) prowadzące do zabezpieczenia i utrzymania przy życiu osoby poszkodowanej, do czasu przyjazdu wykwalifikowanych służb. Etapy pierwszej pomocy 1. ocena sytuacji 2. zabezpieczenie miejsca zdarzenia 3. ocena stanu poszkodowanego 4. wezwanie pomocy - 999 ? Pogotowie...

0 odpowiada - 0 ogląda - 1 rozwiązań

Dodaj zadanie

Zobacz więcej opcji