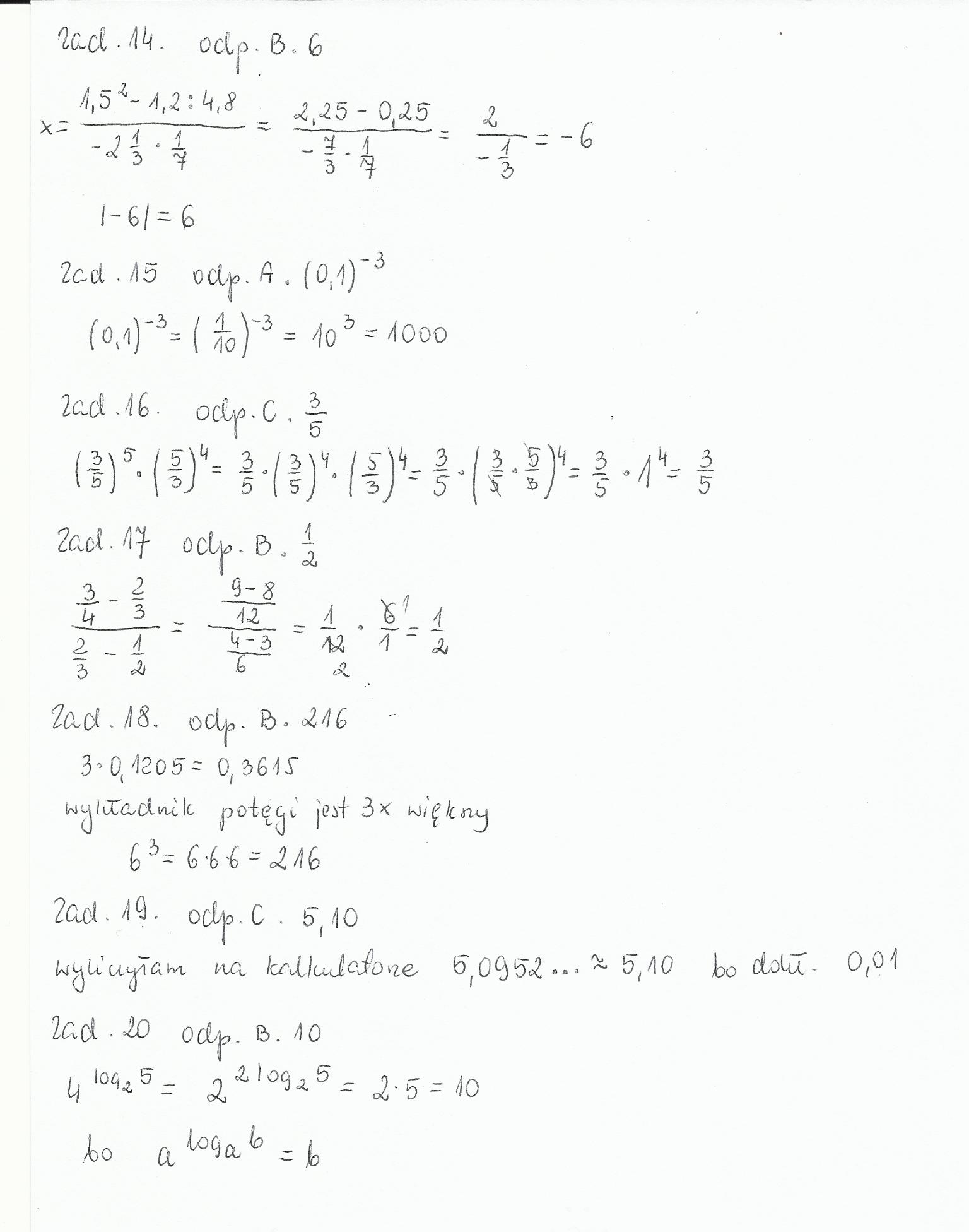
Treść zadania

kacpero2000

Zadania z 1 Zestawu

Załączniki do zadania

Zgłoś nadużycie

Komentarze do zadania

  • Jeżeli dobrze odczytałam,bo jakość jest fatalna...

Zadanie jest zamknięte. Autor zadania wybrał już najlepsze rozwiązanie lub straciło ono ważność.

Rozwiązania

Podobne zadania

mania1408-k1 proszę o pomoc zadania na jutro. Przedmiot: Matematyka / Liceum 2 rozwiązania autor: mania1408-k1 13.4.2010 (16:43)
mania1408-k1 proszę o pomoc zadania na jutro. Przedmiot: Matematyka / Liceum 1 rozwiązanie autor: mania1408-k1 13.4.2010 (16:49)
mania1408-k1 Pole i wycinek koła.pomocy ! zadania na jutro. Przedmiot: Matematyka / Liceum 1 rozwiązanie autor: mania1408-k1 20.4.2010 (15:12)
mania1992 proszę o pomoc!! (geometria płaska) zadania na wtorek. Przedmiot: Matematyka / Liceum 1 rozwiązanie autor: mania1992 24.4.2010 (13:10)
mania1992 proszę o pomoc!! (geometria płaska) zadania na wtorek. Przedmiot: Matematyka / Liceum 1 rozwiązanie autor: mania1992 24.4.2010 (13:02)

Podobne materiały

Przydatność 50% Elementy składowe zestawu komputerowego

Zestaw komputerowy składa się z najczęścciej z pięciu elemntów.Są to: jednostka centralna, klawiatura, monitor, mysz i drukarka. Bez tych części nie mozna wogoe obslugiwać komputeraz. Pojęcia: jednostka centralna-to skrzynka, do której przyłanczamy inne częsci zestawu komputrowego. Znajduje sie w niej plyta glówna, na której umieszczone sa...

Przydatność 55% Wewnętrzna budowa zestawu komputerowego

Komputer jest to urządzenie składające się z wielu części. Podstawowe urządzenia w komputerze to: procesor, płyta główna, Napęd Optyczny CD-ROM, stacja dyskietek, pamięć RAM, twardy dysk. Procesor: Wewnątrz komputera najważniejszą częścią jest procesor, czyli układ scalony, który steruje przetwarzaniem informacji i ich przepływem w całym systemie komputerowym. Procesor...

Przydatność 85% Analiza reklamy zestawu witamin „VIGOR”.

1)OPIS REKLAMY W reklamie przedstawiona jest szczęśliwa rodzina podczas wykonywania swoich codziennych czynności (takich jak np. robienie zakupów) na tle innych ludzi, którzy są szarzy (dosłownie i w przenośni), zdekoncentrowani i zmęczeni. Główną i najważniejszą postacią tego przekazu reklamowego jest kobieta- matka i żona, dbająca o zdrowy tryb życia, racjonalne...

Przydatność 55% Bankowośc zadania

POSIADAM JESZCZE INNE MATERIAŁY Z BANKOWOŚCI I NIE TYLKO

Przydatność 70% Zadania wahadłowców

Promy kosmiczne, zwane też wahadłowcami lub samolotami kosmicznymi, są pierwszymi pojazdami wielokrotnego użytku przeznaczonymi do podróży poza naszą planetę. Startują z powierzchni Ziemi na podobieństwo rakiety kosmicznej, po wejściu na orbitę stają się sztucznymi satelitami, a gdy kończą zadanie, lądują z powrotem na ziemskim globie niczym gigantyczny szybowiec. Już sama...

0 odpowiada - 0 ogląda - 1 rozwiązań

Dodaj zadanie

Zobacz więcej opcji