Treść zadania
Autor: mysterious96 Dodano: 26.2.2015 (17:32)
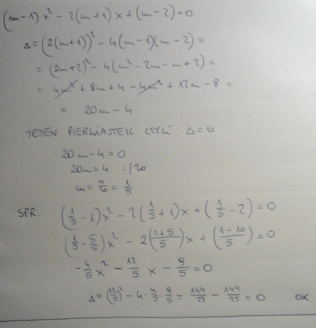
Dla jakiej wartości parametru m równanie
(m-1)x^2-2(m+1)x+(m-2)=0 ma jeden pierwiastek.
Oblicz nierówności
(x-1)^2>4
(3x-1)^2-4(2+x)^2>0
Komentarze do zadania
-
darria07 26.2.2015 (18:07)
1. Czyli delta równania = (2(m+1))do kwadratu- 4 * (m-1)*(m-2)=0
(2m+2)do kwadratu- 4(m do kwadratu-2m-m+2)=0
4m do kwadratu+8m+4-4m do kwadratu+12m-8=0
20m-4=0
20m=4
m=4/20
m=1/5
2.
x do kwadratu-2x+1-4>0
x do kwadratu-2x-3>0
9x do kwadratu- 6x +1 - 4( 4+ 4x + x do kwadratu)>0
9x do kwadratu- 6x +1 - 16 - 16x - 4 x do kwadratu>0
5x do kwadratu - 22x -15>0
Zadanie jest zamknięte. Autor zadania wybrał już najlepsze rozwiązanie lub straciło ono ważność.
Rozwiązania
Podobne zadania
|
|
1 rozwiązanie | autor: majka82101 15.4.2010 (19:51) |
|
|
1 rozwiązanie | autor: madzia992 27.4.2010 (19:52) |
|
|
2 rozwiązania | autor: diablicaatakuje 11.5.2010 (21:19) |
|
|
1 rozwiązanie | autor: diablicaatakuje 11.5.2010 (21:20) |
|
|
1 rozwiązanie | autor: Justa22 22.5.2010 (14:51) |
Podobne materiały
Przydatność 50% W jakiej szkole chciałbym pracować?
Moim zdaniem nie zacznę dążyć do zamierzonego celu czyli idealnej szkoły, jeżeli nie postawię przed sobą zasadniczego pytania: w jakiej szkole są zdrowe relacje pomiędzy ucznami, a nauczycielami? Szkoła, w której chciałbym pracować, powinna się znajdować w centrum miasta, ponieważ potencjalnie to właśnie w nim uczniowie jako dorośli będą stawać przed odpowiedzialnymi...
Przydatność 50% Felieton - Do jakiej głupoty jesteśmy zdolni.
„Miłosierdzie boskie i głupota ludzka nie znają granic” - twierdził niegdyś Einstein, (Co do miłosierdzia miał jednak pewne wątpliwości). Jaki pomysł człowieka był najgłupszy? Hm, jeśli się nad tym zastanowić, to jest tego sporo, ale najniebezpieczniejszy z nich towarzyszy nam od zarania dziejów-zabijanie. Nie dla pożywienia, ale z innych, zwykle podłych...
Przydatność 50% Epoki historyczne, w jakiej epoce chciałbyś zyć?
Epoki historyczne,w jakiej epoce chciałbyś żyć? Starozytność– czasy do roku 476, czyli upadku Imperium Rzymskiego. Odróżnia się w niej przede wszystkim badania nad starożytnym Egiptem, nad kulturami Bliskiego Wschodu nad starożytnią Grecją i nad Imperium Rzymskim. Ukształtowały się podstawy europejskie kultury. Powstało chrzejścijaństwo. W ciągu ponad...
Przydatność 75% Wzorem jakiej postawy dla człowieka cierpiącego może być Hiob?
Jednym z bohaterów Starego Testamentu jest Hiob - zamożny człowiek tóry posiadał dobrze prosperujące gospodarstwo, szczęśliwą rodzine i licznych przyjaciół i w jednej chwili wszystko to stracił. Bóg chcąc udowodnić szatanowi prawdziwość i szczerość wiary Hioba wystawił go na ciężką próbe. Odebrał mu wszystko co czyniło go zamożnym, szczęśliwym i szanowanym. Jednak...
Przydatność 50% Jakiej genezy mogą być misy jeziorne, czym się charakteryzują;
Misa i jezioro są to dwa pojęcia nierozerwalnie ze sobą związane. Tworzenie się mis jeziornych może być efektem procesów endogenicznych tj.wulkanizmy lub procesów egzogenicznych, czyli działalności lodowców, wiatru, rzek. Misy jeziorne dzielimy na: -Jeziora tektoniczne W skład tych jezior wchodzą jeziora reliktowe, będące pozostałością po morzach lub jeziorach....
0 odpowiada - 0 ogląda - 2 rozwiązań
0 0
Konto usunięte, 26.2.2015 (18:16)
koleżanka Daria rozpoczęła :)to ja zakończę rozwiązanie
w załączniku
Załączniki
Dodawanie komentarzy zablokowane - Zgłoś nadużycie
0 0
werner2010 26.2.2015 (20:16)
zdjęcia z rozwiązaniami
Załączniki
Dodawanie komentarzy zablokowane - Zgłoś nadużycie