Treść zadania
Autor: rrikkkkkx Dodano: 14.2.2015 (21:56)
1. Rozwiąż równania:
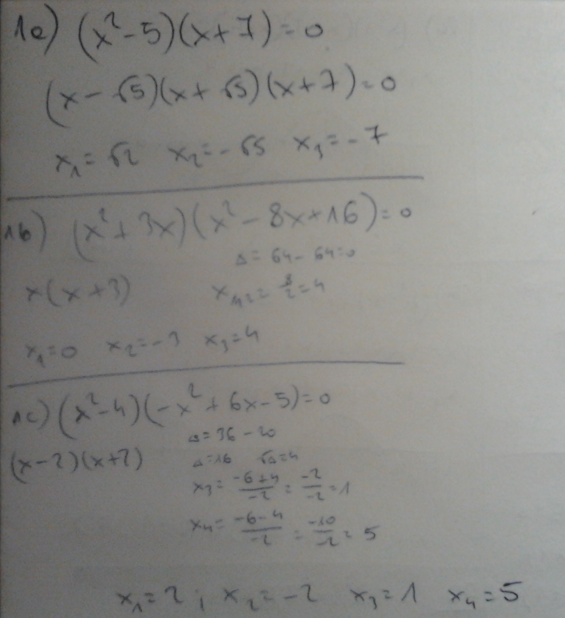
a). (x^2-5)(x+7)=0
b). (x^2+3x)(x^2-8x+16)=0
c). (x^2-4)(-x^2+6x-5)=0
d). x^3+5x^2-2x-10=0
e). x^3-4x^2-3x+12=0
f). x^3+x^2-x-1=0
g). 4x^3+x^2+8x+2=0
h). 5x^3+x^2-25-5=0
i). x^3-3x^2+3x=0
2. Rozwiąż nierówności:
a). (x-1)(x+3)(x-4)>0
b). (x^2-1)(x+2) ≤ 0
c). (x-5)^2(x-3)(x-4)<0
d). (x-6)(x^2+7x+10) ≥ 0
3. Określ dziedzinę wyrażenia wymiernego a następnie rozłóż wielomiany występujące w wyrażeniu wymiernym na czynniki i uprość to wyrażenie 2x^3+x^2-18x-9 / x^2-9
prooszęęę
Zadanie jest zamknięte. Autor zadania wybrał już najlepsze rozwiązanie lub straciło ono ważność.
Najlepsze rozwiązanie
Rozwiązania
0 odpowiada - 0 ogląda - 1 rozwiązań
1 0
werner2010 14.2.2015 (23:39)
o to chodziło? ;)
Załączniki
Dodawanie komentarzy zablokowane - Zgłoś nadużycie
rrikkkkkx 15.2.2015 (00:57)
dziękuję !!! :)))))