Treść zadania

rrikkkkkx

1. Dane są wielomiany W(x)=2x^4+x^3+3, P(x)= x-4 oraz Q(x)=x^2+x. Wyznacz wielomian:

a). W(x)-P(x)
b). W(x)-Q(x)
c). P(x)-Q(x)-W(x)
Wynik podaj w postaci uporządkowanego wielomianu. Określ stopień wielomianu.

2. Dla jakiej wartości a i b wielomian P(x)=(x^3+2)^2 jest równy wielomianowi Q(x)=(a+5)x^6+4x^3+6x^2+4?

3. Wyznacz a i b tak, by wielomiany W(x)=3x^3-(1/2a+b)x^2+2x-2 i V(x)=(-a+1/2b)x^3-4x^2+2x-2 były równe.

4. Wyznacz wartości a tak, by liczba -3 była pierwiastkiem wielomianu W(x)=x^4+ax^3-x-1

5. Wyznacz wartości a i b tak, aby liczby 1 i -2 były pierwiastkami wielomianu W(x)=ax^4+x^3-bx+8

6. Dany jest wielomian W(x)=x^3+2x^2-9x-18
a). wyznacz pierwiastki tego wielomianu
b). sprawdź czy wielomiany W(x) i P(x)=(x+2)(x^2-2x+4)+(x+2)(2x-13) są równe.

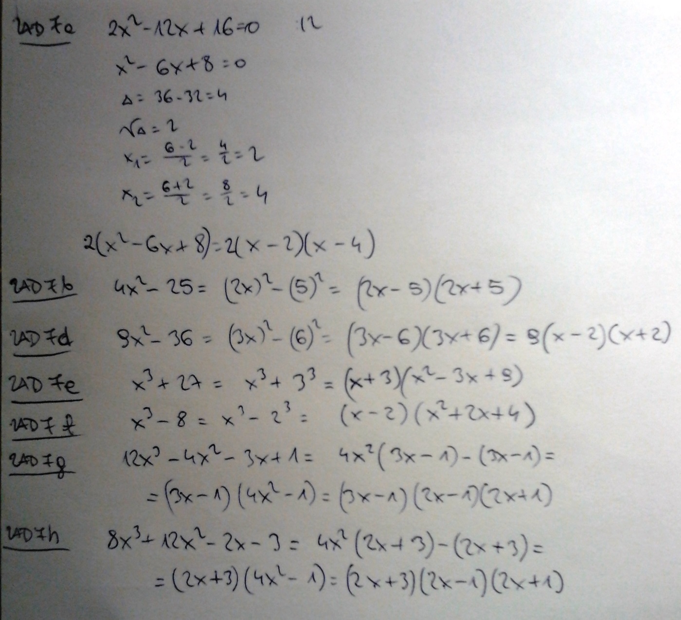
7. Rozłóż wielomian na czynniki jak najniższego stopnia:

a). 2x^2-12x+16
b). 4x^2-25
c). 4x^2-25
d). 9x^2-36
e). x^3+27
f). x^3-8
g). 12x^3-4x^2-3x+1
h). 8x^3+12x^2-2x-3

Mógłby ktoś? proszę :)

Zadanie jest zamknięte. Autor zadania wybrał już najlepsze rozwiązanie lub straciło ono ważność.

Rozwiązania

Podobne zadania

MartaGrzeszczak1 Dany jest trójkąt o wierzchołkach A=(-4, 2) B=(0,4) C=(6,-4) a) wyznacz Przedmiot: Matematyka / Liceum 2 rozwiązania autor: MartaGrzeszczak1 29.3.2010 (17:43)
angelika1990 1)Dane są wielomiany Oblicz W(x)=x³-2x+1 W(x)+Q(x) Q(x)=-x³+3x Przedmiot: Matematyka / Liceum 1 rozwiązanie autor: angelika1990 8.4.2010 (18:05)
lestat919 wielomiany Przedmiot: Matematyka / Liceum 1 rozwiązanie autor: lestat919 8.4.2010 (19:10)
aluszacedro dane są wierzchołki trójkąta A=(6,-1), B=(10,1), C=(2,7) wykaż że Przedmiot: Matematyka / Liceum 2 rozwiązania autor: aluszacedro 12.4.2010 (15:22)
nikola29 wyznacz wszystkie liczby a i b dla których równanie ax - 4b = 2x = 8 nie Przedmiot: Matematyka / Liceum 2 rozwiązania autor: nikola29 15.4.2010 (19:01)

Podobne materiały

Przydatność 60% Polska - ogółne dane

Polozenie polski na kuli ziemskiej. Polska ma szer pół. a dł wschodnia. Konsekwencje rozciaglosci poludnikowej jest roznica trwania dnia miedzy pół. a poł. Czerwca w Polsce dzien trwa 17h20min w gdyni i jest dluzszy o 1h20min Zakopanem. Konsekwencja rozciaglosci rownoleznikowej jest roznica we wschodzie slonaca, slonce wschodzi wczesniej o 40 min na wsch Polski. Czas letni wedlug...

Przydatność 60% Chorwacja - główne dane

CHORWACJA. PRZEMYSŁ. Główną rolę w gospodarce Chorwacji odgrywa przemysł przetwórczy o zróżnicowanej strukturze gałęziowej; do najważniejszych gałęzi należą: hutnictwo żelaza (Sisak) i aluminium (Lozovac, Razine), przemysł stoczn. (Rijeka, Split, Pula) oraz petrochem. (Sisak, Osijek, Split); duże znaczenie ma przemysł maszyn. (m.in. fabryki: obrabiarek — Zagrzeb, maszyn...

Przydatność 75% Księżyc - ogólne dane

1.Księżyc : To naturalny satelita Ziemi. Otacza ją po swojej orbicie oddalonej od planety o 384400km. Jest piątym co do wielkości Księżycem w Układzie Słonecznym. Średnica Księżyca wynosi trochę więcej niż 1/4 średnicy Ziemi. Przyspieszenie grawitacyjne na jego powierzchni jest blisko 6 razy słabsze, niż na Ziemi (1,6 n/kg). Cały czas widzimy tylko jedną stronę...

Przydatność 65% List, w którym wyznacze cele na nowy rok szkolny.

Przysietnica 02.09.2009 Angeliko! Pierwszego września rozpoczęłam nowy rok szkolny. Pamiętam, że jest to dzień szczególny, także z powodu siedemdziesiątej rocznicy wybuchu II Wojny Światowej. Wiem, że wtedy wiele dzieci ie mogło...

Przydatność 55% Dane fizyczne planet Układu Słonecznego

UKŁAD SŁONECZNY Planety wewnętrzne Merkury Merkury jest planetą krążącą najbliżej Słońca. Ze względu na znaczny mimośród (spłaszczenie) orbity, w peryhelium znajduje się półtorakrotnie bliżej Słońca niż w aphelium. Średnia gęstość Merkurego jest w przybliżeniu równa gęstości Ziemi, przy czym około 80% jego masy przypada na żelazne jądro. Powierzchnię...

0 odpowiada - 0 ogląda - 1 rozwiązań

Dodaj zadanie

Zobacz więcej opcji