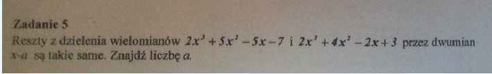
Treść zadania

neust007

Proszę o rozwiązanie...

Załączniki do zadania

Zadanie jest zamknięte. Autor zadania wybrał już najlepsze rozwiązanie lub straciło ono ważność.

Rozwiązania

Podobne zadania

anitkaa1593 na jutro prosz o pomoc Przedmiot: Matematyka / Liceum 1 rozwiązanie autor: anitkaa1593 8.9.2010 (20:15)
niusia1992 :Pmatma prosz:P Przedmiot: Matematyka / Liceum 1 rozwiązanie autor: niusia1992 19.5.2011 (16:43)

0 odpowiada - 0 ogląda - 0 rozwiązań

Dodaj zadanie

Zobacz więcej opcji