Treść zadania
Autor: janeczka_06 Dodano: 9.10.2014 (22:19)
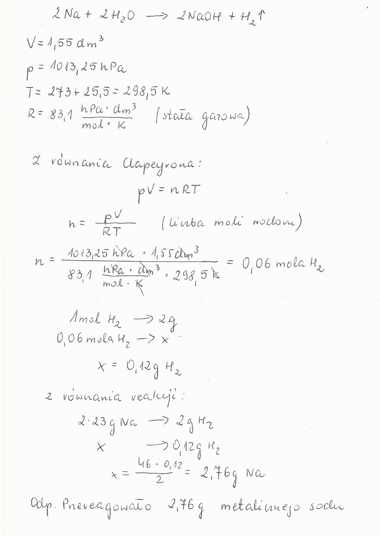
Ile gramów metalicznego sodu przereagowało z wodą, jeżeli w temp. 25,5 stopni C powstało 1,55 dm^3 wodoru pod cisnieniem 1013,25 hPa.?
Zadanie jest zamknięte. Autor zadania wybrał już najlepsze rozwiązanie lub straciło ono ważność.
Rozwiązania
Podobne zadania
|
|
1 rozwiązanie | autor: aga125 20.4.2010 (08:29) |
|
|
2 rozwiązania | autor: Monia92 8.5.2010 (20:09) |
|
|
1 rozwiązanie | autor: sunlitek 16.9.2010 (17:32) |
|
|
1 rozwiązanie | autor: maoliwka05310 16.9.2010 (17:34) |
|
|
2 rozwiązania | autor: marzenka24 21.9.2010 (18:50) |
Podobne materiały
Przydatność 100% Szkoły eksperymentalne Mi-temps
Mi – temps Eksperyment mi – temps zrodził się w 1941 roku we Francji, w atmosferze protestu przeciwko przeciążaniu uczniów pracą umysłową, przetrzymywaniu ich przez wiele godzin w ławkach szkolnych, przeciwko całej tradycyjnej szkole, która nie zawsze umiała zadbać o rozwój fizyczny swoich wychowanków. Twórcą owego eksperymentu jest Max Fourestier, lekarz – inspektor...
Przydatność 55% Węglan sodu - prezentacja chemia
Na2CO3 weglan sodu Węglan sodu o wzorze Na2CO3 (tzw. soda) występuje w postaci bezwodnej jako tzw. soda amoniakalna lub soda kalcynowana. Jest białym, krystalicznym proszkiem, bardzo higroskopijnym i dobrze rozpuszczalnym w wodzie. Topi się w temperaturze 852°C Rozpuszcza się również w rozcieńczonych kwasach wydzielając przy okazji dwutlenek węgla. Wodne roztwory węglanu sodu...
Przydatność 70% Wodorotlenek sodu i jego zastosowanie
Wzór sumaryczny: NAOH Wzór strukturalny: Na-O-H Wodorotlenki otrzymuje się głównie dwiema metodami: 1. W reakcji metalu z wodą (głównie wodorotlenek sodu i potasu) np.: 2Na + H2O → 2NaOH + H2 2. W reakcji tlenku metalu z wodą np.: Na2O + H2O → 2NaOH Wodorotlenek sodu: Soda żrąca, soda kaustyczna - biała krystaliczna masa o temperaturze...
Przydatność 70% Tabela porównawcza sodu i chloru.
Symbol: Na Nazwa polska: Sód Nazwa angielska: Sodium Grupa: IA (1) – litowce Okres: 3 Liczba atomowa: 11 Masa atomowa: 22,989768 Stan skupienia (20 C ,1 atm.) –ciało stałe Kolor: srebrnobiały z metalicznym połyskiem Zapach: ------ Właściwości fizyczne: -miękki metal (daje się kroić nożem) -gęstość poniżej 1g/cm³ (pływa na powierzchni wody) -sole...
Przydatność 65% Wodorotlenek sodu i wodorotlenek wapnia
Wodorotlenek sodu (zasada sodowa) NaOH Równania reakcji: 2Na 2H2O->2NaOH H2^ Na2O H2O ->2NaOH Właściwości: ? Ciało stałe ? Barwa biała ? Higroskopijne(używane w laboratoriach w postaci granulek) ? Rozpuszcza się w wodzie, przy czym wydziela ciepło ? Właściwości żrące (niszczy bibułę i podobnie działa na skórę, a stopiony niszczy szkło i porcelanę) ?...
0 odpowiada - 0 ogląda - 1 rozwiązań
2 0
ewka13 10.10.2014 (09:56)
Rozwiązanie w załączniku...
Załączniki
Dodawanie komentarzy zablokowane - Zgłoś nadużycie