Treść zadania

Konto usunięte

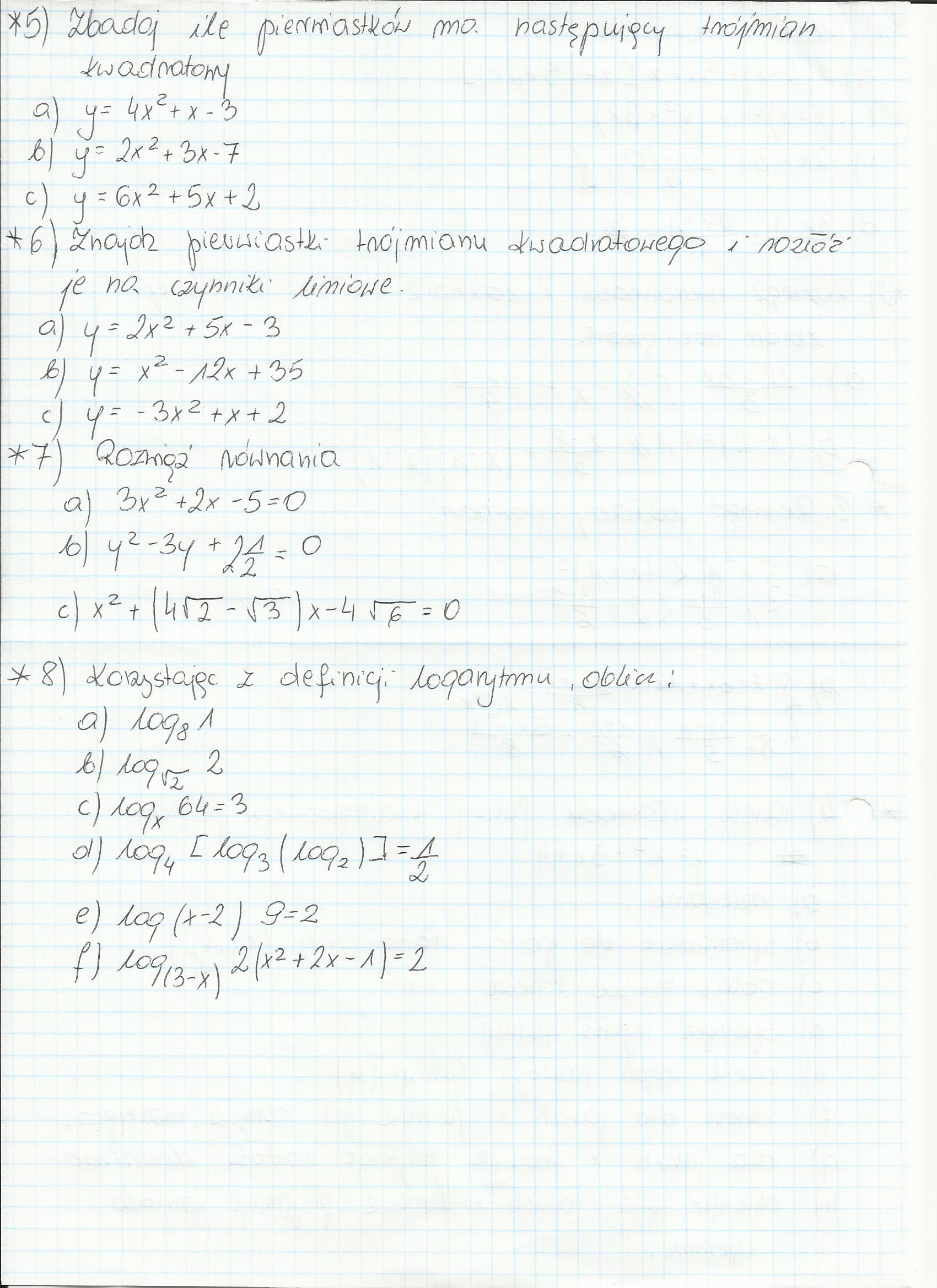
Proszę o zrobienie zadania 5.

Załączniki do zadania

Zadanie jest zamknięte. Autor zadania wybrał już najlepsze rozwiązanie lub straciło ono ważność.

Najlepsze rozwiązanie

  • avatar

    1 1

    aby sprawdzić ile pierwiastków na trójmian kwadratowy wystarczy sprawdzić jaki znak ma wyróżnik funkcji kwadratowej(delta)
    delta>0 - dwa pierwiastki
    delta<0 - nie ma pierwiastków
    delta=0 - jeden pierwiastek
    y=4x^2+x-3
    delta=1-48=-47
    delta<0 - nie ma pierwiastków
    y=2x^2+3x-7
    delta=9+56=65
    delta>0 - dwa pierwiastki
    y=6x^2+5x+2
    delta=25-48=-23
    delta<0 - nie ma pierwiastków

Rozwiązania

Podobne zadania

mania1408-k1 proszę o pomoc zadania na jutro. Przedmiot: Matematyka / Liceum 2 rozwiązania autor: mania1408-k1 13.4.2010 (16:43)
mania1408-k1 proszę o pomoc zadania na jutro. Przedmiot: Matematyka / Liceum 1 rozwiązanie autor: mania1408-k1 13.4.2010 (16:49)
mania1408-k1 Pole i wycinek koła.pomocy ! zadania na jutro. Przedmiot: Matematyka / Liceum 1 rozwiązanie autor: mania1408-k1 20.4.2010 (15:12)
mania1992 proszę o pomoc!! (geometria płaska) zadania na wtorek. Przedmiot: Matematyka / Liceum 1 rozwiązanie autor: mania1992 24.4.2010 (13:10)
mania1992 proszę o pomoc!! (geometria płaska) zadania na wtorek. Przedmiot: Matematyka / Liceum 1 rozwiązanie autor: mania1992 24.4.2010 (13:02)

Podobne materiały

Przydatność 55% Bankowośc zadania

POSIADAM JESZCZE INNE MATERIAŁY Z BANKOWOŚCI I NIE TYLKO

Przydatność 70% Zadania wahadłowców

Promy kosmiczne, zwane też wahadłowcami lub samolotami kosmicznymi, są pierwszymi pojazdami wielokrotnego użytku przeznaczonymi do podróży poza naszą planetę. Startują z powierzchni Ziemi na podobieństwo rakiety kosmicznej, po wejściu na orbitę stają się sztucznymi satelitami, a gdy kończą zadanie, lądują z powrotem na ziemskim globie niczym gigantyczny szybowiec. Już sama...

Przydatność 80% Zadania sekretariatu

Zadania sekretariatu Głównym zadaniem sekretariatu jest odciążenie kierownika z uciążliwych administracyjno - biurowych i techniczno ? usługowych spraw które są bardzo drobne. W strukturze firmy sekretariat nie ma charakteru merytorycznego lecz usługowy. W sekretariacie może być zatrudnionych kilka osób ale najczęściej jest to komórka jednoosobowa (zatrudniony to sekretarka lub...

Przydatność 50% Zadania spedytora

Zadania spedytora: - Spedytor zobowiązany jest wykonywać swoje czynności zgodnie z przyjętym zleceniem. - Spedytor jest zobowiązany do odbioru przesyłki w przypadku gdy brakuje właściwych dokumentów. - Spedytor odbierając przesyłkę jest zobowiązany sprawdzić czy przesyłka dostarczona została w stanie nienaruszonym. - Spedytor nie ma obowiązku sprawdzać zgodność...

Przydatność 50% Zadania i cele mediów

Istnieje wiele teorii, dotyczących zadań, jakie spełniają środki masowego przekazu. Wynika to ze zróżnicowanego definiowania tego pojęcia. W ujęciu funkcjonalistycznym, które uznaje media za autonomiczne instytucje, mają one następujące funkcje: 1. Informacja: - informowanie o wydarzeniach i sytuacji w społeczeństwie, kraju i na świecie, - powiadamianie o rozkładzie sił we...

0 odpowiada - 0 ogląda - 1 rozwiązań

Dodaj zadanie

Zobacz więcej opcji