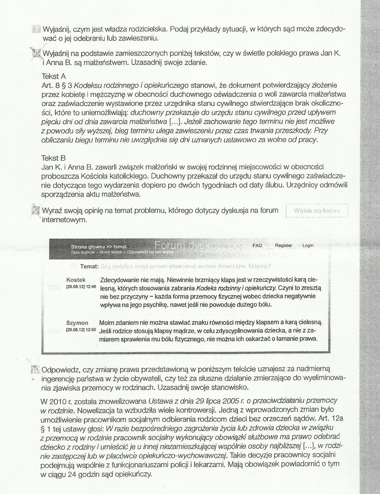
Treść zadania

dziusia96

Zadania w załączniku

Załączniki do zadania

Zadanie jest zamknięte. Autor zadania wybrał już najlepsze rozwiązanie lub straciło ono ważność.

Rozwiązania

Podobne zadania

Czarna1897 Czym różni się zadanie lub praca artysty od zadania naukowca? Co odkrywa Przedmiot: WOS / Liceum 1 rozwiązanie autor: Czarna1897 10.5.2010 (20:05)
Nieznany Hej, czy mógłby mi ktoś pomóc? Treść zadania: pan Kowalski jak wszyscy Przedmiot: WOS / Liceum 1 rozwiązanie autor: Konto usunięte 10.11.2010 (12:51)
Karolcia2012 PROSZĘ O POMOC POTRZEBNE NA JUŻ PROSTE ZADANIA Z WOSU!! :) Zadanie Przedmiot: WOS / Liceum 1 rozwiązanie autor: Karolcia2012 16.11.2010 (00:12)
donaldte Omów zadania władzy gminy i jak one się dzielą? Przedmiot: WOS / Liceum 1 rozwiązanie autor: donaldte 11.3.2011 (17:36)
kropek przedstaw zadania budzetu panstwa Przedmiot: WOS / Liceum 1 rozwiązanie autor: kropek 18.1.2012 (21:29)

Podobne materiały

Przydatność 55% Bankowośc zadania

POSIADAM JESZCZE INNE MATERIAŁY Z BANKOWOŚCI I NIE TYLKO

Przydatność 70% Zadania wahadłowców

Promy kosmiczne, zwane też wahadłowcami lub samolotami kosmicznymi, są pierwszymi pojazdami wielokrotnego użytku przeznaczonymi do podróży poza naszą planetę. Startują z powierzchni Ziemi na podobieństwo rakiety kosmicznej, po wejściu na orbitę stają się sztucznymi satelitami, a gdy kończą zadanie, lądują z powrotem na ziemskim globie niczym gigantyczny szybowiec. Już sama...

Przydatność 80% Zadania sekretariatu

Zadania sekretariatu Głównym zadaniem sekretariatu jest odciążenie kierownika z uciążliwych administracyjno - biurowych i techniczno ? usługowych spraw które są bardzo drobne. W strukturze firmy sekretariat nie ma charakteru merytorycznego lecz usługowy. W sekretariacie może być zatrudnionych kilka osób ale najczęściej jest to komórka jednoosobowa (zatrudniony to sekretarka lub...

Przydatność 50% Zadania spedytora

Zadania spedytora: - Spedytor zobowiązany jest wykonywać swoje czynności zgodnie z przyjętym zleceniem. - Spedytor jest zobowiązany do odbioru przesyłki w przypadku gdy brakuje właściwych dokumentów. - Spedytor odbierając przesyłkę jest zobowiązany sprawdzić czy przesyłka dostarczona została w stanie nienaruszonym. - Spedytor nie ma obowiązku sprawdzać zgodność...

Przydatność 50% Zadania i cele mediów

Istnieje wiele teorii, dotyczących zadań, jakie spełniają środki masowego przekazu. Wynika to ze zróżnicowanego definiowania tego pojęcia. W ujęciu funkcjonalistycznym, które uznaje media za autonomiczne instytucje, mają one następujące funkcje: 1. Informacja: - informowanie o wydarzeniach i sytuacji w społeczeństwie, kraju i na świecie, - powiadamianie o rozkładzie sił we...

0 odpowiada - 0 ogląda - 0 rozwiązań

Dodaj zadanie

Zobacz więcej opcji