Treść zadania

Deloper

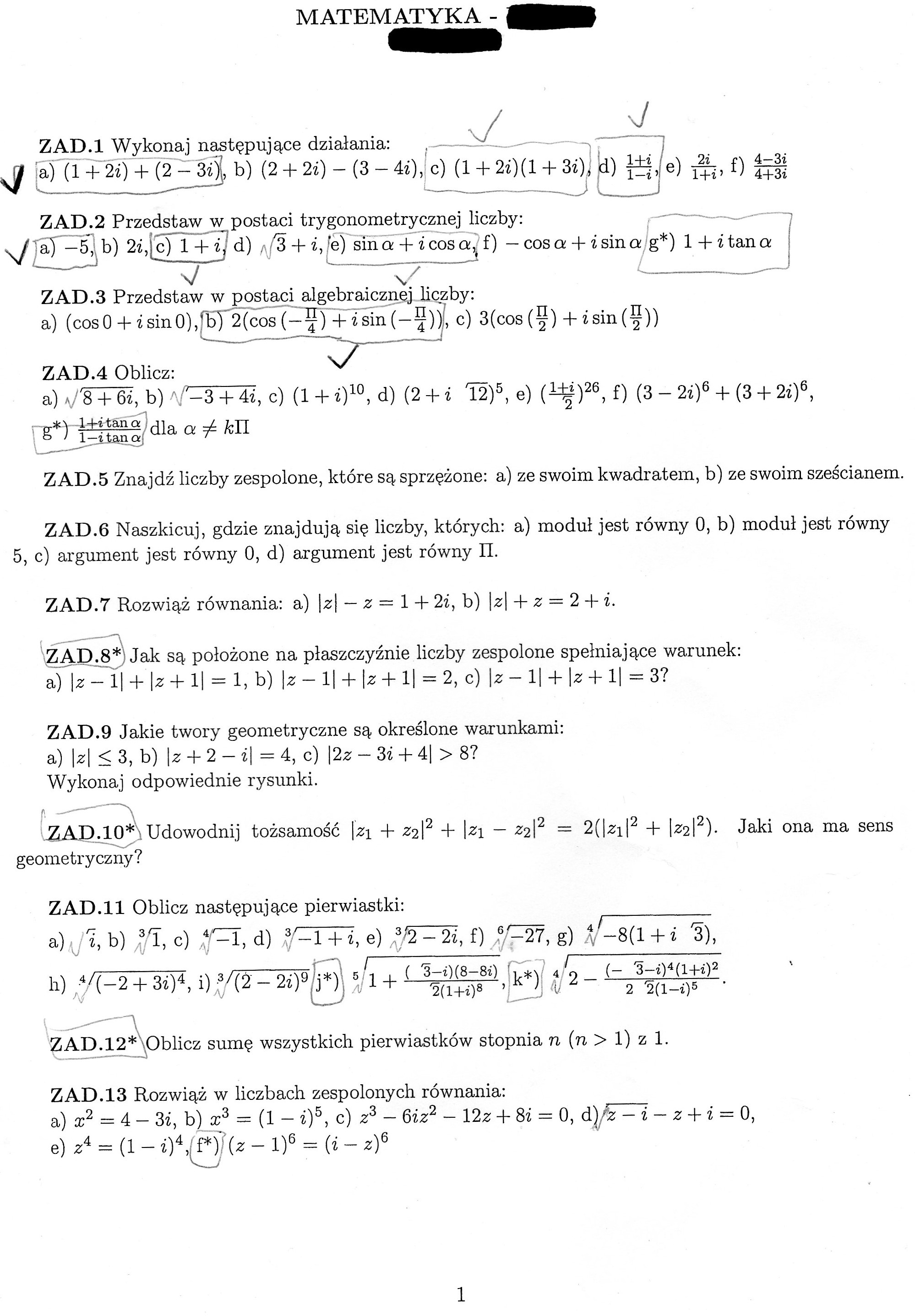
Witam , zadanie w załączniku z liczb zespolonych :


3A , 3C

Załączniki do zadania

Zadanie jest zamknięte. Autor zadania wybrał już najlepsze rozwiązanie lub straciło ono ważność.

Rozwiązania

  • antekL1

    [ Patrz rozwiązania zadań 1 i 2, tam piszę o "j" i inne pierdoły ]

    Zad. 3a
    Ponieważ cos(0) = 1 i sin(0) = 0 to:
    wyrażenie = 1 + j * 0 = 1

    Zad. 3c
    Ponieważ cos(pi/2) = 0 i sin(pi/2) = 1 to:
    wyrażenie = 3 * ( 0 + j * 1 )= 3j

    • Aha, jeszcze algebraicznie, więc
      Zadanie 3a to: 1 + 0* j
      Zadanie 3c to: 0 + 3*j
      nie wiem, jak to dokładniej przedstawić.

      Może: 1 * (1 + 0*j) ?? Cholera wie!

Podobne zadania

Nieznany Mam takie zadanie obliczyc Pb ostr.prawidl.trójkąt. gdzie krawędz wynosi 8 Przedmiot: Matematyka / Studia 1 rozwiązanie autor: Konto usunięte 9.5.2010 (14:08)
Blondi9393 Zadanie z matematyki ! Podobieństwa figur ! Przedmiot: Matematyka / Studia 1 rozwiązanie autor: Blondi9393 18.9.2010 (18:11)
rozalia podaj 5 różnych liczb zawartych między liczbami 2/5i3/5 Przedmiot: Matematyka / Studia 4 rozwiązania autor: rozalia 17.10.2010 (17:30)
Spoke Witam Mam mały problem z tymi zadaniami: Wyznacz odległość punktu P_0 = Przedmiot: Matematyka / Studia 1 rozwiązanie autor: Spoke 13.11.2010 (23:05)
pestka136 Zadanie na całki Przedmiot: Matematyka / Studia 1 rozwiązanie autor: pestka136 16.12.2010 (22:29)

Podobne materiały

Przydatność 60% Dzieje Liczb

Liczba, jest podstawowym pojęciem matematyki, które powstało w świadomości człowieka na wiele tysięcy lat przed naszą erą, a następnie kształtowało się i rozwijało wraz z rozwojem cywilizacji i kultury. Z chwilą, gdy rozróżnienie między „jeden” i „wiele”- charakterystyczne dla ludów pierwotnych- przestało wystarczać, wprowadzone zostały liczby: 1,2,3,4,...,a więc...

Przydatność 75% Symbolika liczb

Liczbę 1 uważano dawno, dawno temu za liczbę najdoskonalszą. Jest to pierwsza liczba nieparzysta. Wszystkie inne liczby pochodzą od jedynki, np.2, to 1 + 1. Jeden - ile to jest: dużo czy mało? Zastanów się! Wszyscy chcą być pierwsi: w nauce, w sporcie, w zabawie, ale nikt nie chce dostać jedynki z klasówki! Liczba 2 jest pierwszą liczbą parzystą. Uważana była przed wiekami...

Przydatność 80% Cecha podzielności liczb naturalnych.

Cecha podzielności przez 2 Liczba jest podzielna przez 2 jeżeli jej ostatnia cyfra jest parzysta lub jest nią zero. Przykłady: 12, 48, 100, 124 Cecha podzielności przez 3 Liczba jest podzielna przez 3 jeżeli suma jej cyfr tworzy liczbę podzielną przez 3. Przykłady: 27 bo 2+7=9 123 bo 1+2+3=6 621 bo 6+2+1=9 Cecha podzielności przez 4 Liczba jest...

Przydatność 80% Cechy podzielności liczb.

Cechy podzielności przez 2 Liczba jest podzielna przez 2 jeżeli w rzędzie jedności ma cyfrę:0, 2, 4, 6, lub 8. Przykłady: 24, 506, 1002, 99990 Cechy podzielności przez 3 Liczba jest podzielna przez 3 jeżeli suma jej cyfr tworzy liczbę podzielną przez 3. Przykłady: 42 - 4+2 = 6 i 6 =2*3 783 - 7+8+3=18 i 18=6 * 3 1209 - 1+2+0+9=12 i 12=4*3 Cechy podzielności przez 4...

Przydatność 55% Ciekawe własności liczb

7 stron o ciekawych własnościach liczb, załączonych w załączniku. Polecam.

0 odpowiada - 0 ogląda - 1 rozwiązań

Dodaj zadanie

Zobacz więcej opcji