Treść zadania

Sailor_Moon

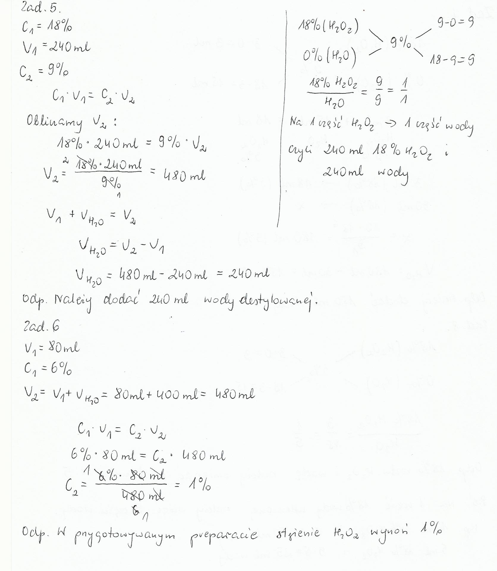
Roztwory 5 , 6

Załączniki do zadania

Zadanie jest zamknięte. Autor zadania wybrał już najlepsze rozwiązanie lub straciło ono ważność.

Najlepsze rozwiązanie

Rozwiązania

Podobne zadania

olaarek1916 1.Połącz wzory soli z określeniami odczynów które wykazują roztwory wodne Przedmiot: Chemia / Studia 1 rozwiązanie autor: olaarek1916 3.4.2011 (14:04)
Deloper 19. Co to są roztwory buforowe? Podaj przykłady. Przedmiot: Chemia / Studia 1 rozwiązanie autor: Deloper 19.6.2013 (11:55)
Sailor_Moon Roztwory 3 , 4 Przedmiot: Chemia / Studia 1 rozwiązanie autor: Sailor_Moon 1.4.2014 (20:50)
Sailor_Moon Roztwory 7 , 8 Przedmiot: Chemia / Studia 1 rozwiązanie autor: Sailor_Moon 1.4.2014 (20:52)
Karina12390 Mamy do dyspozycji dwa roztwory HCl a) w wodzie, b) w benzynie. Który roztwór Przedmiot: Chemia / Studia 1 rozwiązanie autor: Karina12390 23.1.2019 (17:21)

Podobne materiały

Przydatność 65% Roztwory

Roztwór właściwy- jest to jeden z rodzajów roztworów. Roztwór właściwy charakteryzuje się tym , że poszczególne składniki znajdują się w stanie bardzo dużego rozproszenia. Cząsteczki w roztworze właściwym mają rozmiar około 10-7. Roztwory właściwe mogą występować we wszystkich trzech stanach skupienia: gazowym, ciekłym i stałym. Roztworem właściwym jest np....

Przydatność 55% Roztwory

ROZTWORY są to mieszaniny optycznie jednorodne. ROZTWORY są to układy wieloskładnikowe. Każdy roztwór składa się z rozpuszczalnika, czyli fazy rozpraszającej, oraz przynajmniej jednej substancji rozpuszczonej, czyli fazy rozproszonej. PODZIAŁ ROZTWORÓW: **Ze względu na stan skupienia wyróżniamy roztwory: -gazowe: np.powietrze -ciekłe: np.ocet,mleko -stałe: np.szkło,stopy...

Przydatność 55% Roztwory

1.Roztwory (mieszaniny optycznie jednorodne) są to układy wieloskładnikowe. Każdy roztwór składa się z rozpuszczalnika, czyli fazy rozpraszającej, oraz przynajmniej jednej substancji rozpuszczonej, czyli fazy rozproszonej. 2.Rozpuszczalnik-to ciecz zdolna do tworzenia roztworu po zmieszaniu z ciałem stałym, inną cieczą lub gazem. Najbardziej znanym rozpuszczalnikiem jest woda....

Przydatność 55% Roztwory koloidalne

Roztwory koloidalne (koloidy) stanowią układy, w których cząstki substancji rozproszonej charakteryzują się rozmiarami od 1 do 500 nm. Cząstki o takich rozmiarach odpowiadają tzw. rozdrobnieniu koloidalnemu. Roztwory koloidalne są układami dwufazowymi, składają się z ośrodka rozpraszającego substancji rozproszonej. Zależnie od fazy rozpraszającej noszą one nazwę hydrozoli...

Przydatność 65% Roztwory mianowane

Roztwory o dokładnie oznaczonym stężeniu (mianie), których przygotowanie jest zwykle pierwszym etapem prac analitycznych, nazywamy roztworami mianowanymi. Czynności mające na celu otrzymanie takiego roztworu nazywamy nastawianiem miana. W celu przyrządzenia mianowanego roztworu odważoną ilość (zgodnie z wynikami obliczeń stechiometrycznych) tzw. substancji podstawowej, przenosimy...

0 odpowiada - 0 ogląda - 1 rozwiązań

Dodaj zadanie

Zobacz więcej opcji