Treść zadania
Autor: tomaszomania Dodano: 11.3.2014 (16:59)
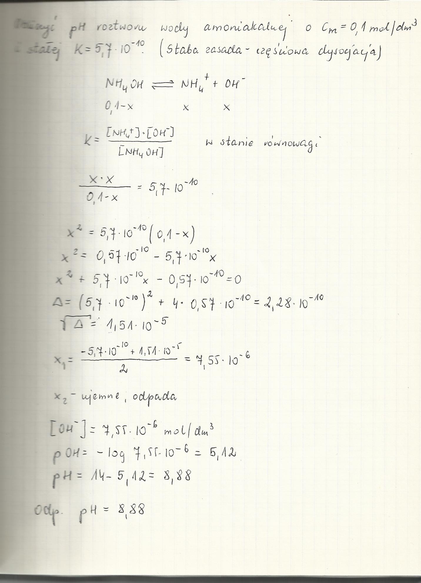
Oblicz pH roztworu wody amoniakalnej o stężeniu molowym Cm= 0,1 mol/dm3 i stałej K= 5,7 x 10 do potęgi -10,
Oblicz pH roztworu wody amoniakalnej o Cmol= 13,4 mol/dm3 i stałej K= 1,778x 10 do potęgi -5. ( na rownaniach kwadratowych)
Komentarze do zadania
-
Karolciaqq 11.3.2014 (17:05)
Cześć ;) Skad jestes, bo akurat dzisiaj mielismy to samo i wlasnie skonczylam dla kolezanki zdjecie z tego przesylac. Jak chcesz to tutaj masz skan z zeszytu http://l.hh.de/5kRTaq
Zadanie jest zamknięte. Autor zadania wybrał już najlepsze rozwiązanie lub straciło ono ważność.
Najlepsze rozwiązanie
Rozwiązania
Podobne zadania
|
|
2 rozwiązania | autor: zania344 15.5.2010 (13:12) |
|
|
1 rozwiązanie | autor: zania344 15.5.2010 (13:14) |
|
|
1 rozwiązanie | autor: zania344 15.5.2010 (22:18) |
|
|
1 rozwiązanie | autor: zania344 15.5.2010 (22:31) |
|
|
1 rozwiązanie | autor: zania344 18.5.2010 (00:13) |
Podobne materiały
Przydatność 65% Ph roztworu
1. Co to jest pH roztworu? 2. Przy pomocy jakich wskaźników badamy pH i wskaż przykłady pH kilkunastu wybranych przez siebie substancji np. krem, mydło, mleko. Odczyn roztworu jest cechą roztworu określającą ,czy w roztworze znajduje się nadmiar jonów wodorowych H+ - odczyn kwaśny ,czy nadmiar jonów wodorotlenkowych OH- - odczyn zasadowy, czy też są one w równowadze –...
Przydatność 55% Odczyn roztworu PH
Odczyn roztworu jest cechą roztworu określającą ,czy w roztworze znajduje się nadmiar jonów wodorowych H+ -odzczyn kwaśny ,czy nadmiar jonów wodorotlenkowych OH- - odczyn zasadowy ,czy też są one w równowadze –odczyn obojętny. Wodne roztwory kwasów wykazują odczyn kwaśny ,a wodne roztwory wodorotlenków (zasady)- odczyn zasadowy. Jeśli zanurzony w wodnym...
Przydatność 65% Oblicze Ojczyzny
(praca z 1 klasy gima) słowa w wierszu "*** (oblicze ojczyzny)" Tadeusza Różewicza "na początku ojczyzna jest blisko, na wyciągnięcie ręki" oznaczają, że gdy jesteśmy jeszcze mali ojczyzna to rodzice, koledzy i koleżanki, to nasz dom, nasze podwórko. ważniejsze jest wtedy dla nas to, że koleżance zaginął kot, a nie że wielu ludzi nie ma pracy i nie ma za co wyżywić...
Przydatność 60% Wody
Czysta woda dla życia człowieka jest dobrem niezbędnym. Brak jej na danym obszarze zagraża zdrowiu, a nawet życiu wielu organizmów; bez niej jakakolwiek działalność gospodarcza szybko staje się niemożliwa . Niestety bardzo często mamy do czynienia z przejawami złej, nieracjonalnej gospodarki wodą, wynikającej przede wszystkim z nadmiernego zanieczyszczenia wód....
Przydatność 65% Wody
Aby funkcjonowal wspólczesny swiat, by mogly pracowac wszystkie maszyny, fabryki i czlowiek mógl wygodnie i spokojnie zyc, potrzeba ogromnych ilosci energii. Wiekszosc tej energii dostarczaja surowce energetyczne: ropa naftowa, gaz ziemny i wegiel. Wykorzystanie paliw kopalnianych do produkcji energii elektrycznej niesie za soba wiele zanieczyszczen i niebezpieczenstw dla czlowieka i jego...
0 odpowiada - 0 ogląda - 1 rozwiązań
3 0
ewka13 12.3.2014 (12:19)
Rozwiązanie w załączniku...
Załączniki
Dodawanie komentarzy zablokowane - Zgłoś nadużycie