Treść zadania

Sailor_Moon

ZESTAW I

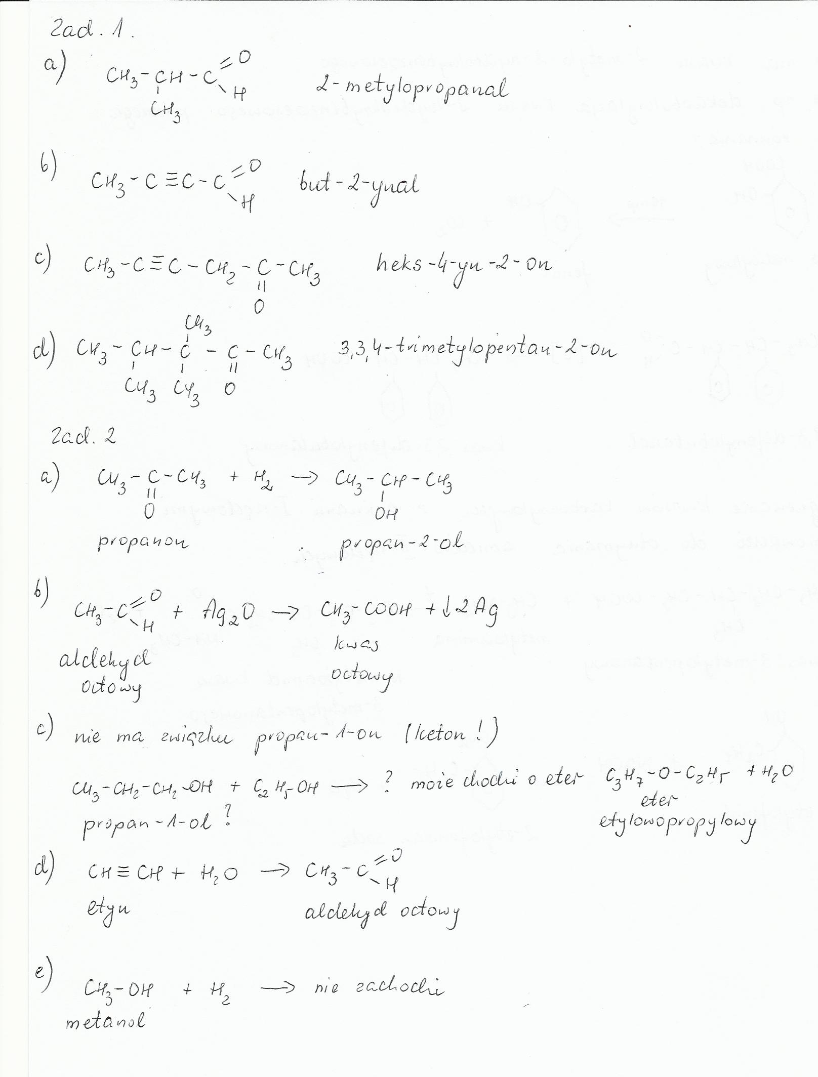
1. Podaj wzory związków
a) 2-metylopropanal
b) but-2-ynal
c) heks-4-yn-2-on
d) 3,3,4-trimetylopentan-2-on

2. Napisz równania reakcji
a) Propanon + wodór
b) Aldehyd octowy + odczynnik Tollensa
c) propan-1-on + etanol
d) etyn + woda
e) metanol + wodór

Zadanie jest zamknięte. Autor zadania wybrał już najlepsze rozwiązanie lub straciło ono ważność.

Najlepsze rozwiązanie

Rozwiązania

Podobne zadania

Paula91 Podaj konfiguracje elektronowe atomów: 88 Ra blok "s" 83 B blok Przedmiot: Chemia / Studia 1 rozwiązanie autor: Paula91 21.10.2010 (18:08)
kasiaa38 Napisać wzory półstrukturalne związków o podanych Przedmiot: Chemia / Studia 1 rozwiązanie autor: kasiaa38 5.11.2010 (16:13)
madziulek7777 Przedstaw wzory sumaryczne i strukturalne zwiąsków chem.o nazwach a)kwas Przedmiot: Chemia / Studia 2 rozwiązania autor: madziulek7777 15.11.2010 (22:28)
zuzanna2010 podaj przykłady reakcji wymiany pojedynczej Przedmiot: Chemia / Studia 1 rozwiązanie autor: zuzanna2010 12.1.2011 (21:27)
alutka2109 1.Podaj stopienie utlenienia wszystkich atomow w nastepujących cząsteczkach i Przedmiot: Chemia / Studia 2 rozwiązania autor: alutka2109 19.1.2011 (21:47)

Podobne materiały

Przydatność 50% Wzory

Kinematyka V= s : t – szybkość średnia (ruch jednostajny) a= V : t – przyspieszenie (ruch przyspieszony) s= (a*t2) : 2 – droga (ruch przyspieszony) V= a*t – prędkość końcowa (ruch przyspieszony) s= 0,5 * V0 * t – droga w ruchu jednostajnie opóźnionym Dynamika F [N] – siła 1N = kg*m/s2 Fw – siła wypadkowa m [kg] – masa Fc –...

Przydatność 55% Wzory

l = 2п r – długość okręgu п = 3,14 P = п r2 – pole koła a√2 – przekątna w kwadracie h = (a√3) : 2 – wysokość trójkąta równobocznego P = (a√3) : 4 – pole trójkąta równobocznego r = h : 3 – promień okręgu wpisanego w trójkąt równoboczny R = 2h : 3 – promień okręgu opisanego na trójkącie równobocznym r = a :2 –...

Przydatność 60% Wzory

tresc w załączniku

Przydatność 55% Wzory

Tabela i w formie ściągi !

Przydatność 60% Wzory

siła F=ma (N) ciężar ciała F=mg (N) gęstość d=m/V (km/m3) ciśnienie p=F/S (Pa) ciśnienie hydrostatyczne ph=dgh (Pa) siła wyporu F=dVg (N) praca W=Fs (J) moc P=W/t (W) droga w ruchu jednostajnym s=Vśr*t pęd p=mV (kg*m/s) zmiana energii wewnętrznej U=W+Q (J) ładunek q=It (C) napięcie elektryczne R=U/I praca prądu elektrycznego W=UIT (J) moc elektryczna...

0 odpowiada - 0 ogląda - 1 rozwiązań

Dodaj zadanie

Zobacz więcej opcji