Treść zadania

Konto usunięte

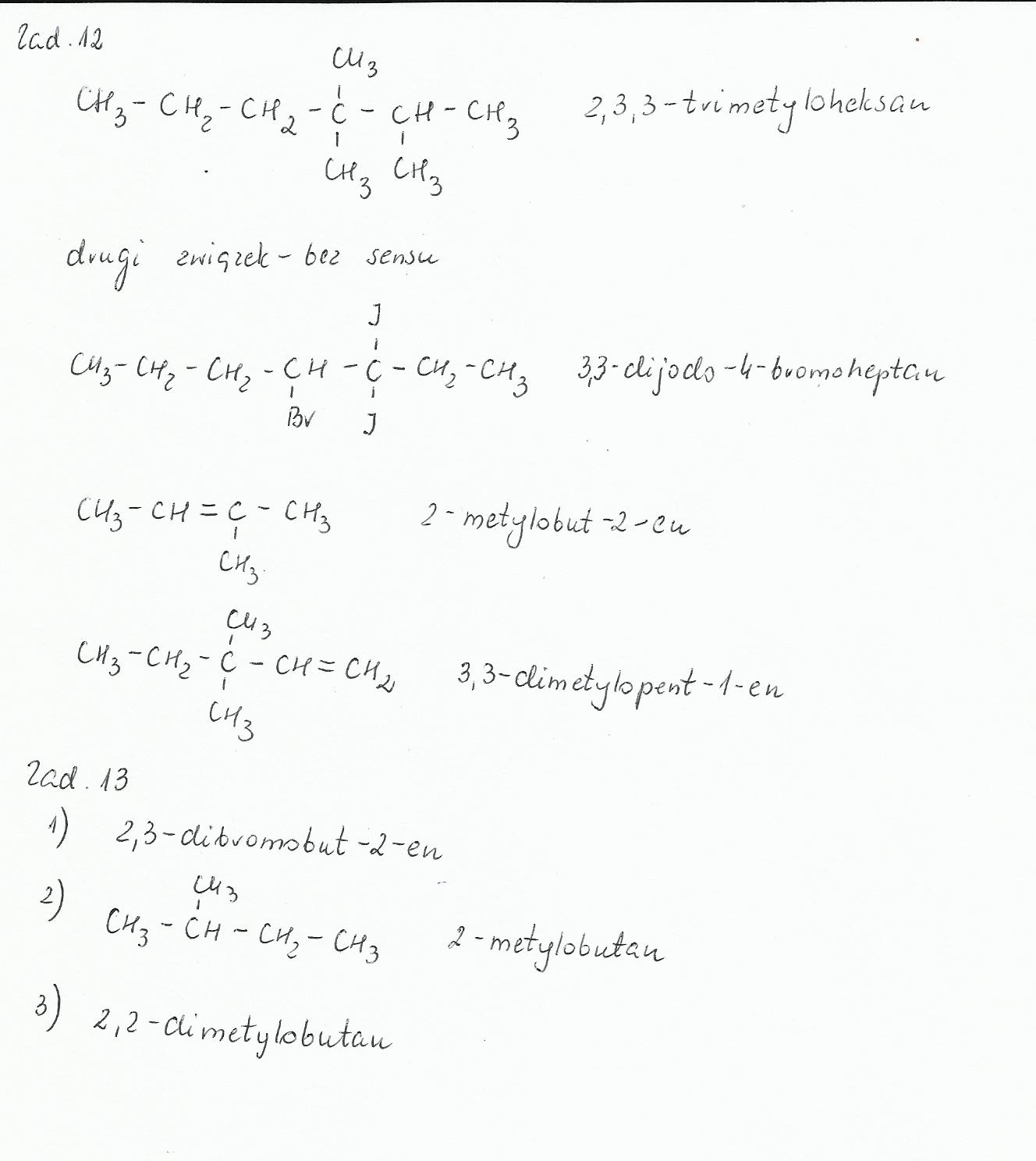
12 chemia

Załączniki do zadania

Zadanie jest zamknięte. Autor zadania wybrał już najlepsze rozwiązanie lub straciło ono ważność.

Najlepsze rozwiązanie

Rozwiązania

Podobne zadania

Lalka091 chemia organiczna Przedmiot: Chemia / Liceum 1 rozwiązanie autor: Lalka091 13.4.2010 (18:30)
Lalka091 chemia organiczna Przedmiot: Chemia / Liceum 1 rozwiązanie autor: Lalka091 13.4.2010 (18:48)
asiulka225 Chemia ratunku Przedmiot: Chemia / Liceum 1 rozwiązanie autor: asiulka225 23.4.2010 (11:05)
asiulka225 Chemia pilne Przedmiot: Chemia / Liceum 1 rozwiązanie autor: asiulka225 23.4.2010 (11:06)
asiulka225 Chemia pomocy Przedmiot: Chemia / Liceum 1 rozwiązanie autor: asiulka225 23.4.2010 (11:06)

Podobne materiały

Przydatność 50% Chemia

Atom węgla o hybrydyzacji sp2 dysponuje trzema orbitalami zhybrydyzowanymi, które leżą na jednej płaszczyźnie (XY), kąt pomiędzy nimi wynosi 120o. Czwarty orbital atomu węgla pozostaje niezhybrydyzowany i jest prostopadły do płaszczyzny w której leżą orbitale zhybrydyzowane: Orbitale 2s i 2p atomu węgla, stan podstawowy orbitale zhybrydyzowane atomu węgla, oraz...

Przydatność 55% Chemia nieorganiczna

Dawne teorie o związkach organicznych. To przekonanie, że związków organicznych nie można otrzymać z pierwiastków w pracowni, że mogą one powstać tylko w organizmach żywych w wyniku działania specjalnej siły życiowej. Teorię tę obalił Wahler. Występowanie węgla w przyrodzie: a.) położenie węgla w ukł. okresowym - leży w IV grupie i II okresie - jest...

Przydatność 75% Chemia alkoholu

Najważniejszym przedstawicielem alkoholi jest powszechnie znany i spożywany ETANOL o wzorze: C2H5OH. Zarówno etanol, jak i metanol są bezbarwnymi cieczami o prawie takim samym, charakterystycznym zapachu i słodkawym, piekącym smaku. Oba alkohole rozpuszczają się w wodzie bez ograniczeń (czyli mieszają się z wodą w każdym stosunku). Uniwersalny papierek wskaźnikowy (i...

Przydatność 65% Chemia - ściąga

Atom najmniejsza część pierwiastka zachowująca jego własności. Składa się z jądra o dod. ład. złożonego z neutronu oraz powłok elektr. z elektronami o ład. ujemnym . Jadro atomu stanowi całk.masę atomu i wchodzi w jego skład cząstki element. Proton i neutron posiadają masę , a pozostałe – energie jądrową Atomy mogą łączyć się między sobą. Mol – jt ilość...

Przydatność 60% Chemia kosmetyczna.

Temat: EKSTRAKTY Ekstrakt – inaczej wyciąg. Jest to roztwór otrzymywany w procesie ekstrakcji, zawierający składnik lub składniki ekstrahowane, rozpuszczalnik użyty do ekstrakcji oraz niewielką ilość innych składników mieszaniny pierwotnej. Ekstrahowany składnik lub składniki otrzymuje się przez oddzielenie rozpuszczalnika (np. przez destylację). Niepożądane składniki...

0 odpowiada - 0 ogląda - 1 rozwiązań

Dodaj zadanie

Zobacz więcej opcji