Zaliczaj.pl
Liceum » Chemia
Dodaj do ulubionych Drukuj
Autor: Konto usunięte Dodano: 11.1.2014 (12:21)
załącznik z cheemią
Zgłoś nadużycie
Zadanie jest zamknięte. Autor zadania wybrał już najlepsze rozwiązanie lub straciło ono ważność.
2 0
ewka13 11.1.2014 (17:21)
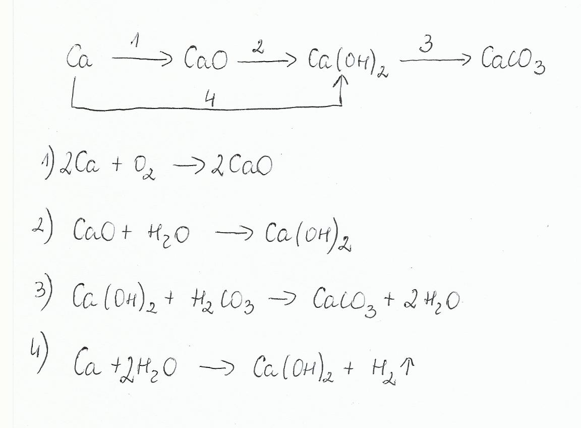
Rozwiązanie w załączniku...
Dodawanie komentarzy zablokowane - Zgłoś nadużycie
0 odpowiada - 0 ogląda - 1 rozwiązań
Zobacz więcej opcji
2 0
ewka13 11.1.2014 (17:21)
Rozwiązanie w załączniku...
Załączniki
Dodawanie komentarzy zablokowane - Zgłoś nadużycie