We wszystkich przykładach używany jest wzór: (a+b)(a-b) = a^2-b^2
a poza tym prawa potęgowania czyli: \left(a^b\right)^c = a^{bc}\qquad\mbox{oraz}\qquad a^{-b} = \frac{1}{a^b}
Potęgi dziesiętne zamieniane są na ułamki zwykłe.
a) =\left(3^{-3/2}+3^{-4/2}\right)\left(3^{-3/2}-3^{-2}\right)=\left(3^{-3/2}\right)^2 - \left(3^{-2}\right)^2=
c) =\left[2^3-\left(\frac{1}{2}\right)^{-3/2}\right]\,\left[\left(\frac{1}{8}\right)^{-1}+ 2^{3/2}\right]=\left(2^3 - 2^{3/2}\right)\left(2^3+2^{3/2}\right)=
1 0
antekL1 7.1.2014 (12:59)
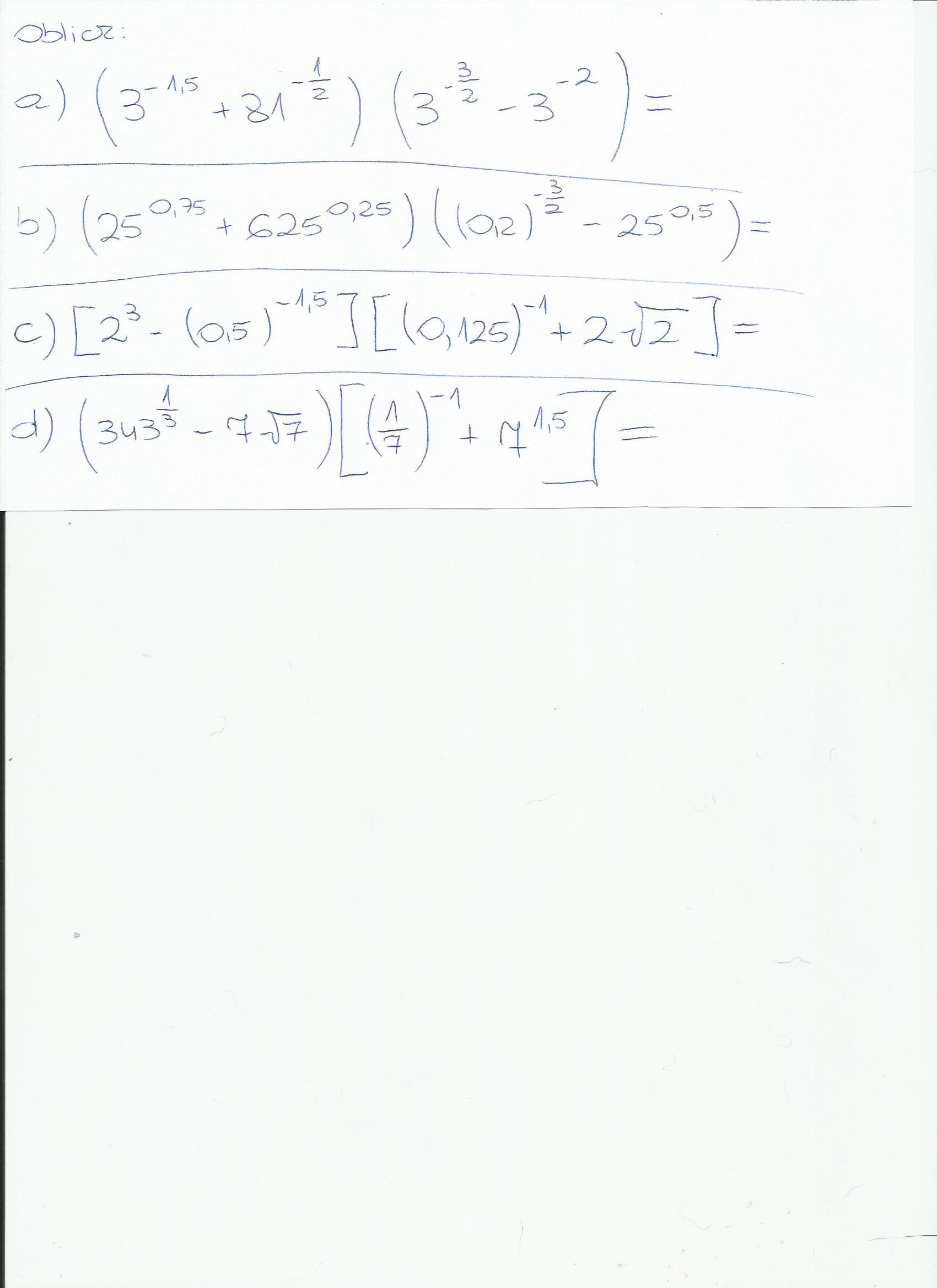
We wszystkich przykładach używany jest wzór:
(a+b)(a-b) = a^2-b^2
a poza tym prawa potęgowania czyli:
\left(a^b\right)^c = a^{bc}\qquad\mbox{oraz}\qquad a^{-b} = \frac{1}{a^b}
Potęgi dziesiętne zamieniane są na ułamki zwykłe.
a)
=\left(3^{-3/2}+3^{-4/2}\right)\left(3^{-3/2}-3^{-2}\right)=\left(3^{-3/2}\right)^2 - \left(3^{-2}\right)^2=
=3^{-3} - 3^{-4} = \frac{1}{27}-\frac{1}{81} = \frac{2}{81}
b)
=\left(25^{3/4}+625^{1/4}\right)\left[\left(\frac{1}{5}\right)^{-3/2}- 25^{1/2}\right]=\left(5^{6/4}+5^{4/4}\right)\left(5^{3/2}-5^{2/2}\right)=
=\left(5^{3/2}\right)^2 - 5^2 = 5^3 - 5^2 = 125 - 25 = 100
c)
=\left[2^3-\left(\frac{1}{2}\right)^{-3/2}\right]\,\left[\left(\frac{1}{8}\right)^{-1}+ 2^{3/2}\right]=\left(2^3 - 2^{3/2}\right)\left(2^3+2^{3/2}\right)=
=\left(2^3\right)^2 - \left(2^{3/2}\right)^2 = 2^6 - 2^3= 64 - 8 = 56
d)
=\left(7^{3/3}-7^{3/2}\right)\left(7^1+7^{3/2}\right)= 7^2 - \left(7^{3/2}\right)^2= 7^2-7^3 = 49 - 343 = -294
Dodawanie komentarzy zablokowane - Zgłoś nadużycie