Treść zadania
Autor: Sailor_Moon Dodano: 18.11.2013 (19:23)
Rozwiąż równania:
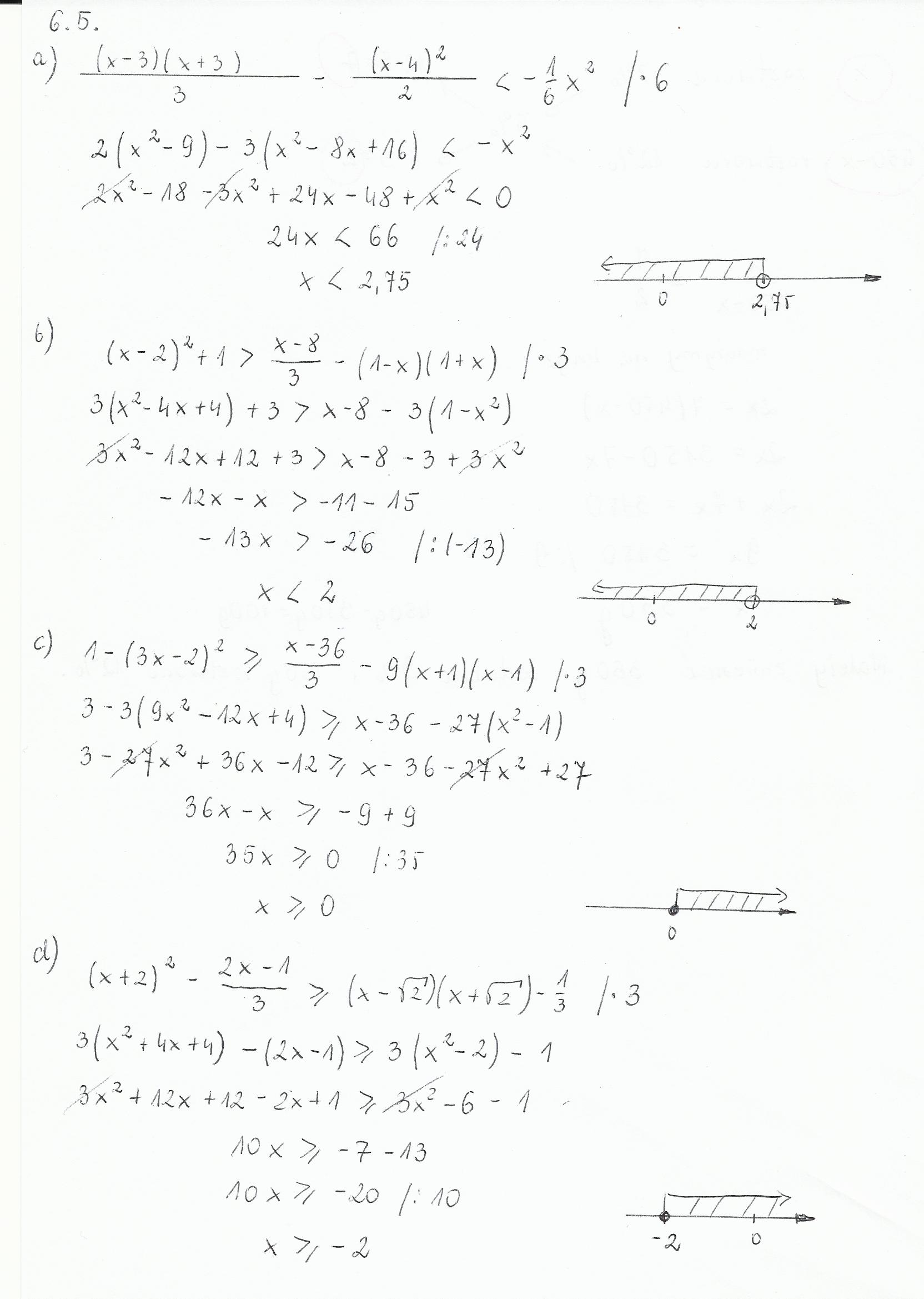
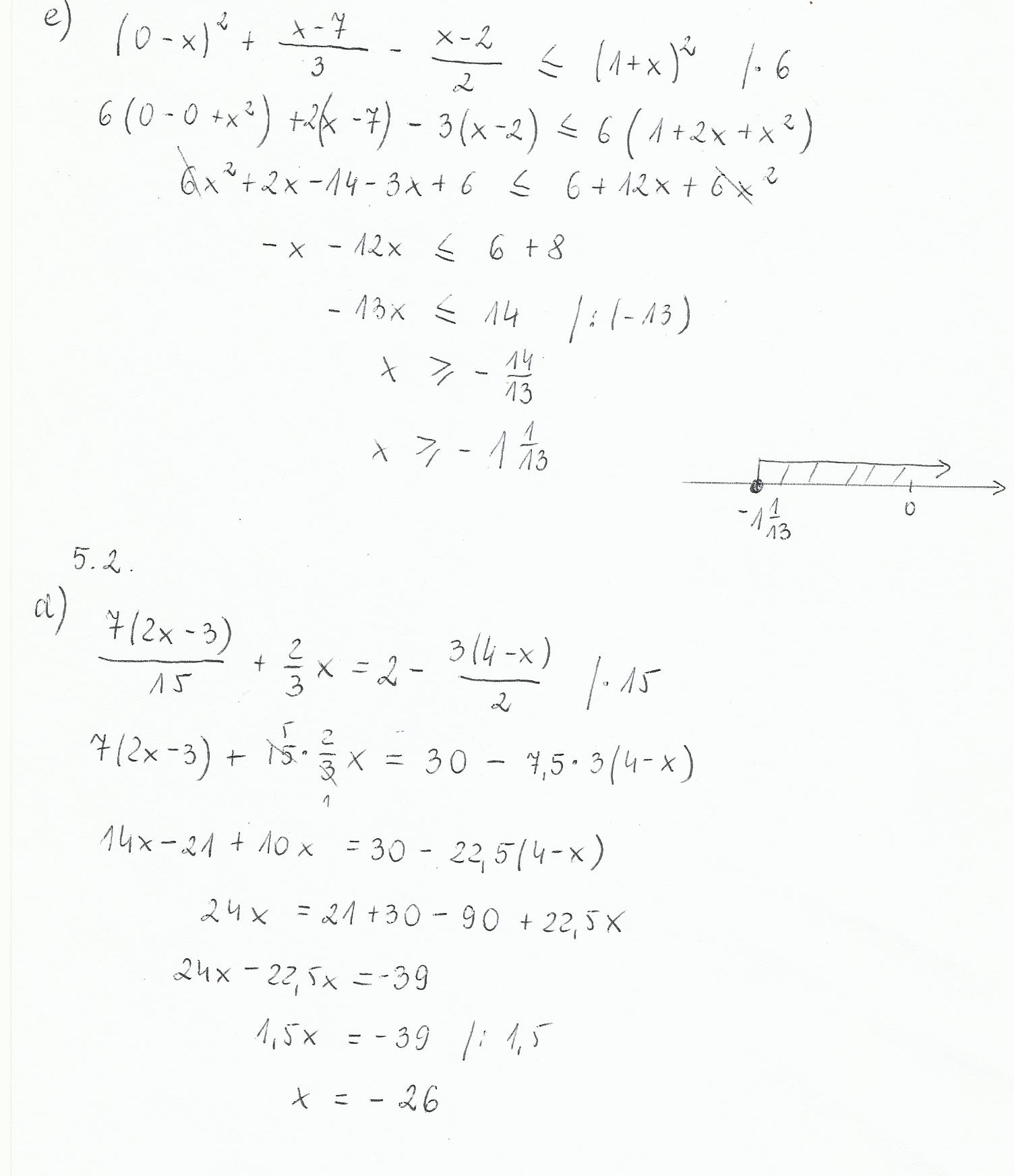
Zadanie 6.5
Zadanie 5.2 - TYLKO PRZYKŁAD D ROZWIĄĆ
Zadanie jest zamknięte. Autor zadania wybrał już najlepsze rozwiązanie lub straciło ono ważność.
Najlepsze rozwiązanie
Rozwiązania
0 odpowiada - 0 ogląda - 2 rozwiązań
3 0
ewka13 18.11.2013 (20:47)
Rozwiązanie w załącznikach...
Załączniki
Dodawanie komentarzy zablokowane - Zgłoś nadużycie