Treść zadania
Autor: Werandka1997 Dodano: 10.11.2013 (16:37)
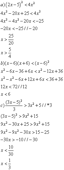
nierowności
(2x-5)^2 < 4x^2
(x-6)(x+6)<(x-6)^2
(3x-5)^2/3 > 3x^2+5
Zadanie jest zamknięte. Autor zadania wybrał już najlepsze rozwiązanie lub straciło ono ważność.
Najlepsze rozwiązanie
Rozwiązania
0 odpowiada - 0 ogląda - 1 rozwiązań
1 0
asasyn 10.11.2013 (17:25)
Proszę
Załączniki
Dodawanie komentarzy zablokowane - Zgłoś nadużycie