Zaliczaj.pl
Liceum » Chemia
Dodaj do ulubionych Drukuj
Autor: Konto usunięte Dodano: 25.10.2013 (14:43)
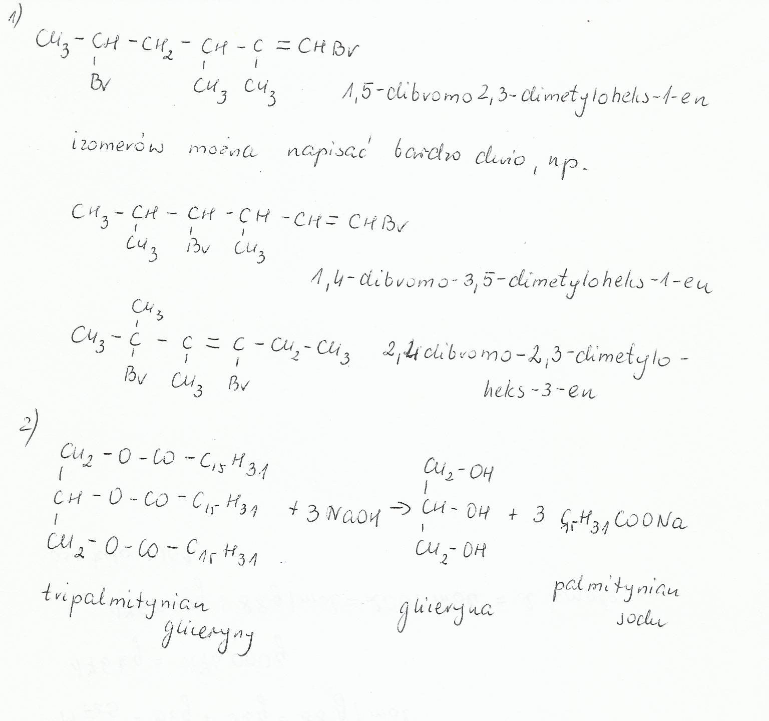
Wzór do narysowania.
Zgłoś nadużycie
Zadanie jest zamknięte. Autor zadania wybrał już najlepsze rozwiązanie lub straciło ono ważność.
2 0
ewka13 25.10.2013 (16:03)
Rozwiązanie w załączniku...
Dodawanie komentarzy zablokowane - Zgłoś nadużycie
0 odpowiada - 0 ogląda - 1 rozwiązań
Zobacz więcej opcji
2 0
ewka13 25.10.2013 (16:03)
Rozwiązanie w załączniku...
Załączniki
Dodawanie komentarzy zablokowane - Zgłoś nadużycie