Treść zadania
Autor: monia00121 Dodano: 23.10.2013 (09:36)
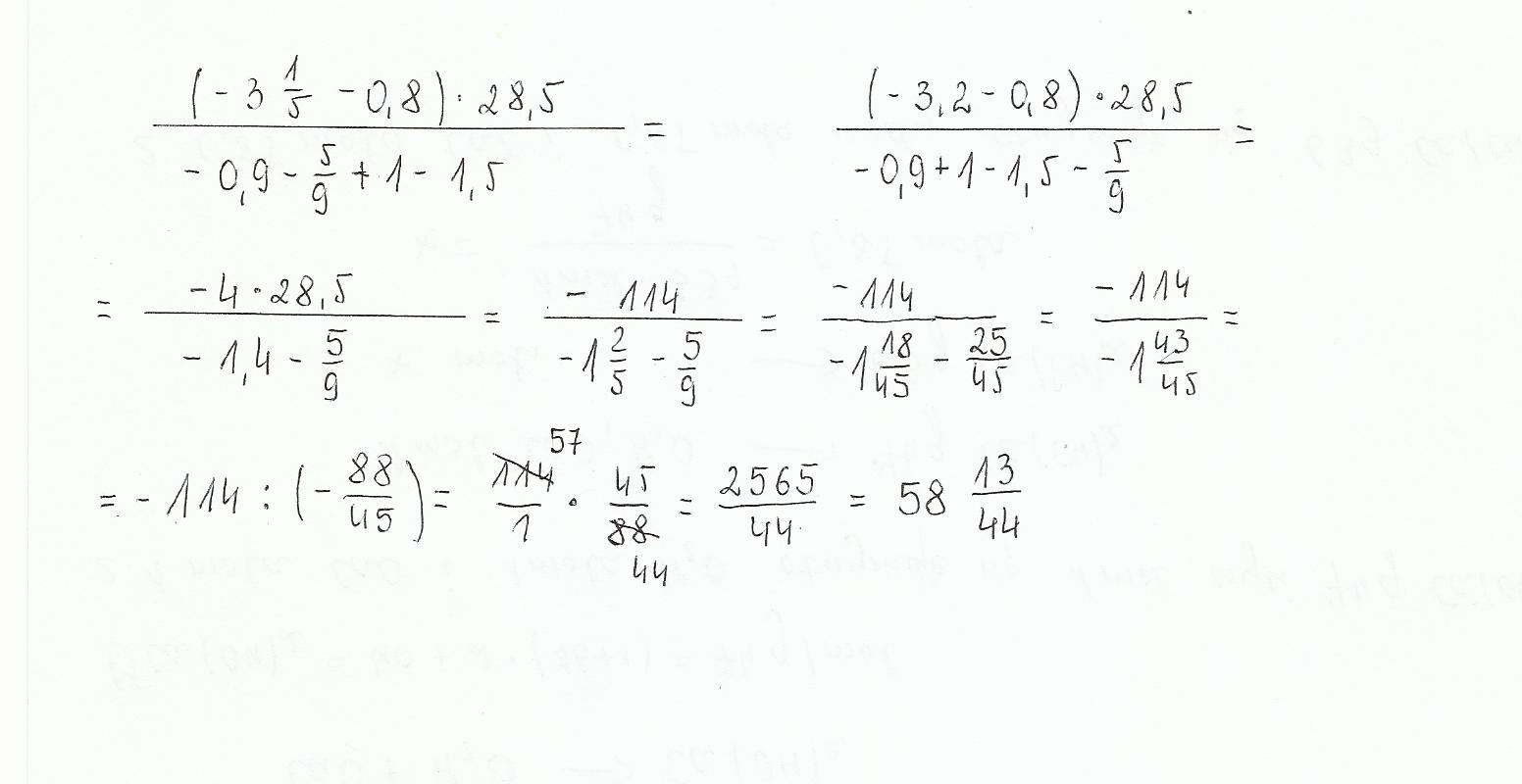
(-3 1/5-0,8)x28,5
-0,9-5/9+1-1,5 =
przez srodek jest kreska ułamkowa
Zadanie jest zamknięte. Autor zadania wybrał już najlepsze rozwiązanie lub straciło ono ważność.
Rozwiązania
Podobne zadania
|
|
3 rozwiązania | autor: misiek33456 28.3.2010 (14:49) |
|
|
2 rozwiązania | autor: agata96 28.3.2010 (21:46) |
|
|
4 rozwiązania | autor: hipopotam 29.3.2010 (21:09) |
|
|
1 rozwiązanie | autor: kamilka033 6.4.2010 (16:17) |
|
|
1 rozwiązanie | autor: agacik 7.4.2010 (20:38) |
0 odpowiada - 0 ogląda - 1 rozwiązań
3 0
ewka13 23.10.2013 (09:48)
Rozwiązanie w załączniku...
Załączniki
Dodawanie komentarzy zablokowane - Zgłoś nadużycie