Treść zadania

~agataaa

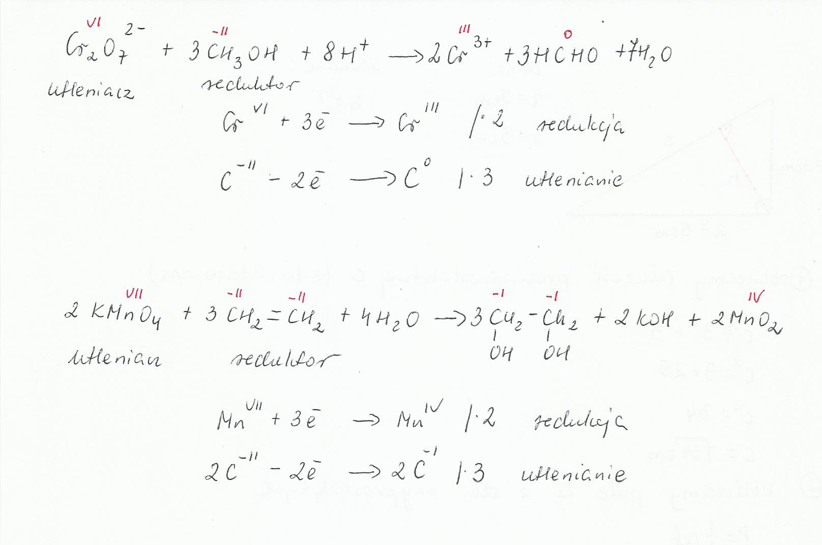
Dobierz współczynniki w następujących równaniach:
Cr2O7(2-) + CH3OH + H(+) ---> Cr(3+) + HCHO + H2O
KMnO4 + CH2=CH2 + H2O -> CH2(OH)-CH2OH + KOH + MnO2
Proszę metodą redoks :)

Zadanie jest zamknięte. Autor zadania wybrał już najlepsze rozwiązanie lub straciło ono ważność.

Rozwiązania

Podobne zadania

onka46 Na podstawie bilansu elektronowego dobierz współczynniki w równaniach Przedmiot: Chemia / Liceum 1 rozwiązanie autor: onka46 14.4.2010 (10:41)
aanulekk DOBIERZ WSPOLCZYNNIKI W PODANYCH ROWNANIACH REKACJI Przedmiot: Chemia / Liceum 2 rozwiązania autor: aanulekk 22.9.2010 (15:29)
Szogunek1500 Napisz równania reakcji oraz dobierz współczynniki: tlenek glinu + kwas Przedmiot: Chemia / Liceum 1 rozwiązanie autor: Szogunek1500 26.9.2010 (19:30)
Szogunek1500 napisz równania reakcji oraz dobierz współczynniki: tlenek rtęci II Przedmiot: Chemia / Liceum 1 rozwiązanie autor: Szogunek1500 26.9.2010 (21:52)
mika038 Dobierz współczynniki stechiometryczne reakcji: A) P4O10+H2O Przedmiot: Chemia / Liceum 1 rozwiązanie autor: mika038 26.9.2010 (22:38)

0 odpowiada - 0 ogląda - 1 rozwiązań

Dodaj zadanie

Zobacz więcej opcji