Zaliczaj.pl
Gimnazjum » Matematyka
Dodaj do ulubionych Drukuj
Autor: ~Aleksandra Dodano: 30.9.2013 (19:20)
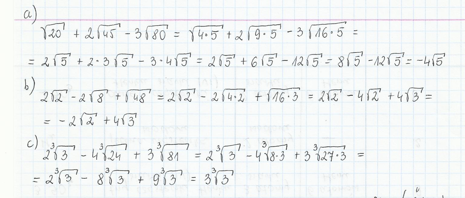
a)√20+2√45-3√80= b)2√2-2√8+√48 c)2∛3-4∛24+3∛81= Proszę o rozpisanie :)
Zgłoś nadużycie
Zadanie jest zamknięte. Autor zadania wybrał już najlepsze rozwiązanie lub straciło ono ważność.
3 0
ewka13 30.9.2013 (19:55)
Rozwiązanie w załączniku...
Dodawanie komentarzy zablokowane - Zgłoś nadużycie
0 odpowiada - 0 ogląda - 1 rozwiązań
Zobacz więcej opcji
3 0
ewka13 30.9.2013 (19:55)
Rozwiązanie w załączniku...
Załączniki
Dodawanie komentarzy zablokowane - Zgłoś nadużycie