Zaliczaj.pl
Liceum » Matematyka
Dodaj do ulubionych Drukuj
Autor: ~kinga Dodano: 30.9.2013 (18:42)
4 całe i 3/4 : (3/4 - 2i 1/3) - 1/2 = pomóżcie !
Zgłoś nadużycie
Zadanie jest zamknięte. Autor zadania wybrał już najlepsze rozwiązanie lub straciło ono ważność.
2 0
ewka13 30.9.2013 (19:36)
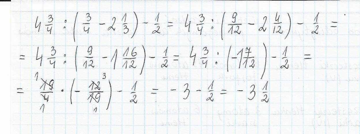
Rozwiązanie w załączniku...
Dodawanie komentarzy zablokowane - Zgłoś nadużycie
sonar 30.9.2013 (20:25)
4 i 3/4 : (3/4 - 2i 1/3) - 1/2 = (sprowadzam ułamki w nawasie do wspólnego mianownika) = 4 i 3/4 : (9/12 - 2 i 4/12) - 1/2= = 4 i 3/4 : ( - 1 i 7/12) - 1/2= = 21/4 : ( - 19/12) - 1/2= = 21/4 * (- 12/19) - 1/2 = (skracam 4 z 12) = 21/1 * (-3/12) - 1/2= = - 36/12 - 1/2= = - 3 - 1/2= = - 3 i 1/2
0 odpowiada - 0 ogląda - 2 rozwiązań
Zobacz więcej opcji
2 0
ewka13 30.9.2013 (19:36)
Rozwiązanie w załączniku...
Załączniki
Dodawanie komentarzy zablokowane - Zgłoś nadużycie
2 0
sonar 30.9.2013 (20:25)
4 i 3/4 : (3/4 - 2i 1/3) - 1/2 = (sprowadzam ułamki w nawasie do wspólnego mianownika)
= 4 i 3/4 : (9/12 - 2 i 4/12) - 1/2=
= 4 i 3/4 : ( - 1 i 7/12) - 1/2=
= 21/4 : ( - 19/12) - 1/2=
= 21/4 * (- 12/19) - 1/2 = (skracam 4 z 12)
= 21/1 * (-3/12) - 1/2=
= - 36/12 - 1/2=
= - 3 - 1/2=
= - 3 i 1/2
Dodawanie komentarzy zablokowane - Zgłoś nadużycie